Jump to content

biochimie


Go to solution Solved by SoFosBuVir,

Recommended Posts

  • Ancien Responsable Matière
  • Solution
Posted

Salut @Moine_copiste, j'espère que tu vas bien ! 

 

Alors la molécule ici étant du phosphatidylglycérol pour savoir de quoi elle est constituée il faut la décomposer : en effet, phosphatidyl- indique la présence d'un glycérol estérifié avec 2 AG et un phosphate lié au 3ème carbone du glycérol, du coup le suffixe glycérol indique la présence d'un autre glycérol également lié à ce phosphate ( comme la choline est liée au phosphate dans la phosphatidylcholine ). Du coup son hydrolyse complète autrement dit l'hydrolyse par les phospholipases A1, A2, C et D libèrera bien ce qui est mentionné dans l'item.

 

J'espère que c'est plus clair pour toi, je reste à ta disposition si tu as d'autres questions.

 

Bon courage pour les derniers jours de révisions ! 

  • Ancien Responsable Matière
Posted

My name is Damien mais peu importe 🤣

 

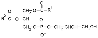
image.png.a357a3c5c73c6ccc9064f5a2d2966e40.png

 

Ca c'est un phosphatidylglycérol, du coup son hydrolyse par les différentes phospholipases autrement dit : A1 hydrolyse entre le glycérol de base et le 1er Acide gras ( ici R1 ), A2 hydrolyse entre le glycérol et son 2nd Acide gras ( ici R2 ), la phospholipase C hydrolyse avant le phosphate et la phospholipase D hydrolyse après, ainsi, si tu imagines toute ces coupures, tu récupères les éléments suivants : 2 acides gras ( étant donné qu'ils ont été séparés du glycérol par les phospholipases A1 et A2, l'acide phosphorique qui correspond a HPO4- vu que tu coupes avec la phospholipase C et D avant et après cette molécule et enfin il te reste ton dernier constituant qui ici est un glycérol car il est libéré de l'acide phosphorique suite à son hydrolyse par la phospholipase D.

 

J'espère que c'est plus clair pour toi ! Sinon n'hésites pas à venir en perm demain.

 

Bonne journée.

 

Posted

@SoFosBuVir jppp désolée j'ai pas fait exprès mdrrr du coup j'ai compris en fait c'est comme la phosphatidylcholine genre à la place de la choline ici on a du glycérol en vrai c'était simple mais j'ai bugué jsp pq mdrrrr

Join the conversation

You can post now and register later. If you have an account, sign in now to post with your account.
Note: Your post will require moderator approval before it will be visible.

Guest
Reply to this topic...

×   Pasted as rich text.   Paste as plain text instead

  Only 75 emoji are allowed.

×   Your link has been automatically embedded.   Display as a link instead

×   Your previous content has been restored.   Clear editor

×   You cannot paste images directly. Upload or insert images from URL.

  • Recently Browsing   0 members

    • No registered users viewing this page.
×
×
  • Create New...
Radio