Noyzee Posted March 23, 2021 Posted March 23, 2021 Bonsoir j'aimerais juuuuste qu'on m'explique ce calcul en maths svp les amis je vous aime : D'où sort ce 2x ? Je comprends tout le reste juste ce 2x Ok c'est dégueu : voilà en mieux : https://zupimages.net/viewer.php?id=21/12/1uq1.png Vaiana 1 Quote
Ancien Responsable Matière Solution Herlock Posted March 23, 2021 Ancien Responsable Matière Solution Posted March 23, 2021 @Noyzee Quand tu vas dériver, tu dériveras aussi ce qui est dans la racine soit (x^2)' = 2x Quote
Ancien du Bureau Sans-Visage Posted March 23, 2021 Ancien du Bureau Posted March 23, 2021 Je me permets de compléter la réponse de la belle @Esmeraldas (ouais j'avais envie d'écrire mon message en centré, y a quoi?) Noyzee and Herlock 1 1 Quote
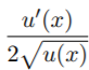
Shrex Posted March 23, 2021 Posted March 23, 2021 Juste pour rappel la dérivée de c'est (C'est dans le pdf de dérivation etc... sur moodle) Noyzee 1 Quote
Ancien Responsable Matière Herlock Posted March 23, 2021 Ancien Responsable Matière Posted March 23, 2021 il y a 3 minutes, DuTACKauTac a dit : Je me permets de compléter la réponse de la belle @Esmeraldas (ouais j'avais envie d'écrire mon message en centré, y a quoi?) @DuTACKauTac J'ai cru mal lire l'adjectif me qualifiant, fais pas ça à quelqu'un qui t'a tagué en tant que personne qui xxx ! @Noyzee Désolé je n'avais pas mis la formule qui était donné dans l'énoncé ! Sans-Visage 1 Quote
Recommended Posts
Join the conversation
You can post now and register later. If you have an account, sign in now to post with your account.
Note: Your post will require moderator approval before it will be visible.