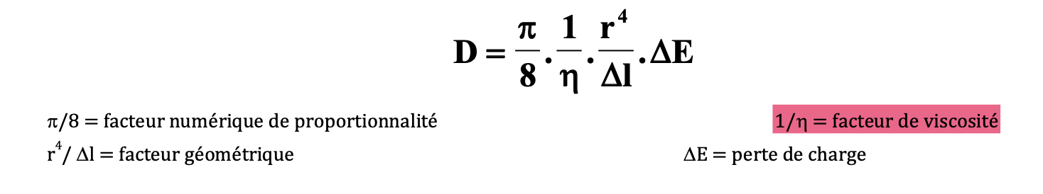
PhosphatidylFlorine Posted March 19, 2021 Posted March 19, 2021 Bonjour, me revoilà encore une fois avec une armée de questions sur un vieux CCB : Questions partie biophysique: Alors là c'est simple pour ce 1er QCM je ne comprends rien même avec la correction (super ça commence bien ), est ce que l'on pourrait m'expliquer le raisonnement s'il vous plaît ? (réponses justes: ABD) L'item E ici est vrai mais je comprends pas trop pourquoi en ajoutant de l'eau dans S2 on obtiendrait des solutions isotoniques ? Si on ajoute de l'eau on va encore plus diluer le NaCl donc comment ça se fait que la pression osmotique augmente et finit par être égale à la solution S1 ? Je pensais qu'il valait mieux ajoutait de l'eau dans S1 pour diluer davantage le NaCl et diminuait la pression osmotique pour retomber sur celle de S2 et obtenir des solutions isotoniques. Je dois sûrement dire une grosse bêtise mais du coup je ne comprends pas le mécanisme ici ? - Soit un liquide Newtonien, qui s'écoule dans un conduit cylindrique rigide, inerte et étroit : A. Le débit dans le conduit, est proportionnel au facteur de viscosité du liquide. CORRECTION: "Vrai: Attention ! 1/η représente bien le facteur géométrique. Le débit est donc proportionnel à ce dernier, mais inversement proportionnel au coefficient de viscosité lui même (c'est un piège tordu)." B. La résistance mécanique à l'écoulement, est proportionnelle au facteur géométrique du conduit. CORRECTION: Faux: c'est inversement proportionnel. J'ai l'impression que la correction de l'item A et l'item B se contredisent. On doit retenir quoi au juste ? Questions partie physiologie: Ici l'item B est vrai, rien ne nous dit dans l'énoncé qu'elle est diabétique non équilibrée mais est ce qu'il faut toujours considérer que si la glycémie est supérieure à sa valeur normale on doit la prendre en compte dans le calcul de l'osmolalité efficace ? - "La production d'acidité via le métabolisme cellulaire est majoritairement de type volatile." -> FAUX Il me semblait que justement si c'était le cas, vous confirmez que c'est un erratum ? Ouf enfin terminé ! Bravo à tout ceux qui n'ont pas été découragés et qui arrivent jusqu'ici ! Je suis désolée ça fait beaucoup de questions d'un coup mais merci à la ou aux personne(s) qui prendront le temps de m'éclairer même si ce n'est que partiellement Quote
Ancien du Bureau Petit_Bateau Posted March 19, 2021 Ancien du Bureau Posted March 19, 2021 Saluuuut @PhosphatidylFlorine, je passe mon tour pour la partie physique pour le moment... j'ai pas réussi à trouver (c'est quel CCB, j'irais voir la correction pour essayer de comprendre) il y a une heure, PhosphatidylFlorine a dit : Questions partie physiologie: Ici l'item B est vrai, rien ne nous dit dans l'énoncé qu'elle est diabétique non équilibrée mais est ce qu'il faut toujours considérer que si la glycémie est supérieure à sa valeur normale on doit la prendre en compte dans le calcul de l'osmolalité efficace ? On doit dire dans l'énoncé si la patiente est diabétique, car si tu fais un bilan sanguin en post-prandial ta glycémie augmente et c'est pas pour autant que tu es diabétique... Donc pour moi c'est un oubli dans l'énoncé ! il y a une heure, PhosphatidylFlorine a dit : - "La production d'acidité via le métabolisme cellulaire est majoritairement de type volatile." -> FAUX Il me semblait que justement si c'était le cas, vous confirmez que c'est un erratum ? j'aurais répondu vrai aussi... Voilà pour la partie physio SeverusRogue and PhosphatidylFlorine 2 Quote
PhosphatidylFlorine Posted March 19, 2021 Author Posted March 19, 2021 (edited) il y a 49 minutes, Petit_Bateau a dit : je passe mon tour pour la partie physique pour le moment... j'ai pas réussi à trouver (c'est quel CCB, j'irais voir la correction pour essayer de comprendre) C'est le CCB de Purpan de 2011-2012 (oui ça date ! ) D'ailleurs c'est peut être pour ça que j'ai eu un peu de mal sur cette partie, ce n'était peut être pas les mêmes profs à l'époque. il y a 49 minutes, Petit_Bateau a dit : On doit dire dans l'énoncé si la patiente est diabétique, car si tu fais un bilan sanguin en post-prandial ta glycémie augmente et c'est pas pour autant que tu es diabétique... Donc pour moi c'est un oubli dans l'énoncé ! Je trouvais ça bizarre moi aussi ! Mais parfait alors je vais considérer qu'il nous manquait une donnée dans l'énoncé. il y a 49 minutes, Petit_Bateau a dit : j'aurais répondu vrai aussi... Yeahhh génial alors ! Merci encore une fois @Petit_Bateau pour ton aide Edited March 19, 2021 by PhosphatidylFlorine Quote
Ancien du Bureau Solution Petit_Bateau Posted March 19, 2021 Ancien du Bureau Solution Posted March 19, 2021 (edited) Du coup @PhosphatidylFlorine, avec la team physio (tu peux les remercier fort fort car ils sont vraiment géniaux ), on a regardé les QCMs de physique ! Il y a 4 heures, PhosphatidylFlorine a dit : Alors là c'est simple pour ce 1er QCM je ne comprends rien même avec la correction (super ça commence bien ), est ce que l'on pourrait m'expliquer le raisonnement s'il vous plaît ? (réponses justes: ABD) Pour le premier, ce n'est plus du tout le style de QCMs qu'on nous demande... c'est beaucoup trop vieux ! Mais c'est en gros pour le B par exemple, tu sais que KCl se dissocie en K+ et Cl- donc si tu fais ta formule de concentration en équivalent : [K+] = m x 1 x 1 (car 1 particule et 1 charge), tu trouves que [K+] = m donc m = 4 mmol/L De plus, il fallait déduire qu'on a une molarité de K+ plus faible que celle de Cl- donc ça représente un facteur limitent, ainsi la molarité dépend de celle de K+ Donc l'item B est vrai Pour les autres items, c'est le même esprit mais ce n'est plus du tout d'actualité donc ne t'embêtes pas avec ça ! Il y a 4 heures, PhosphatidylFlorine a dit : L'item E ici est vrai mais je comprends pas trop pourquoi en ajoutant de l'eau dans S2 on obtiendrait des solutions isotoniques ? Si on ajoute de l'eau on va encore plus diluer le NaCl donc comment ça se fait que la pression osmotique augmente et finit par être égale à la solution S1 ? Je pensais qu'il valait mieux ajoutait de l'eau dans S1 pour diluer davantage le NaCl et diminuait la pression osmotique pour retomber sur celle de S2 et obtenir des solutions isotoniques. Je dois sûrement dire une grosse bêtise mais du coup je ne comprends pas le mécanisme ici ? Ici pareil c'est plus trop d'actualité mais en gros le fait de mettre de l'eau dans S2, ça entrainer des mouvements d'eau vers S1 puisque c'est le milieu très concentré jusqu'à un certain équilibre. C'est une membrane semi-perméable donc les ions Na+ et Cl- ne passe pas, donc c'est osmotiquement actif, on a une pression sur la membrane et on peut le calculer mais pareil encore une fois on n'a jamais vu de QCM avec ce genre de calcul à faire... Il y a 4 heures, PhosphatidylFlorine a dit : - Soit un liquide Newtonien, qui s'écoule dans un conduit cylindrique rigide, inerte et étroit : A. Le débit dans le conduit, est proportionnel au facteur de viscosité du liquide. CORRECTION: "Vrai: Attention ! 1/η représente bien le facteur géométrique. Le débit est donc proportionnel à ce dernier, mais inversement proportionnel au coefficient de viscosité lui même (c'est un piège tordu)." B. La résistance mécanique à l'écoulement, est proportionnelle au facteur géométrique du conduit. CORRECTION: Faux: c'est inversement proportionnel. J'ai l'impression que la correction de l'item A et l'item B se contredisent. On doit retenir quoi au juste ? Alors ici, j'ai été fouillé dans le poly rédigé et voici ce qui est dit : Donc la A est vrai Et pour le B le facteur géométrique c'est r4/∆l OR la "résistance mécanique à l'écoulement" c'est : Donc c'est inversement proportionnel ... du coup faux. Mais d'après @SeverusRogue c'est plus du tout d'actualité ! C'est beaucoup trop ancien ! Pour la physio, ils sont d'accord avec nous Edited March 19, 2021 by Petit_Bateau SeverusRogue 1 Quote
Ancien Responsable Matière SeverusRogue Posted March 19, 2021 Ancien Responsable Matière Posted March 19, 2021 Trop rapide @Petit_Bateau, j'étais en train de répondre Petit_Bateau 1 Quote
Ancien du Bureau Petit_Bateau Posted March 19, 2021 Ancien du Bureau Posted March 19, 2021 il y a 10 minutes, SeverusRogue a dit : Trop rapide @Petit_Bateau, j'étais en train de répondre c'est parce que t'as expliqué comme un chef ça SeverusRogue 1 Quote
PhosphatidylFlorine Posted March 19, 2021 Author Posted March 19, 2021 Waouh Merci beaucoup @Petit_Bateau pour cette réponse si détaillée ! Mis à part l'exercice 1 où je beugue encore (mais on s'en moque du coup vu que ce n'est plus d'actualité ce type de QCM) j'ai tout compris ! Merci à vous @SeverusRogue et les autres RM/tuteurs présents à la perm qui ont aidé notre cher capitaine !! @Petit_Bateau je vais t'embaucher en tant que secrétaire pour les perms du vendredi où je ne peux pas aller (c'est un job en plus d'être médecin bien évidemment ). Merci vraiment à vous pour votre aide ! SeverusRogue and Petit_Bateau 1 1 Quote
Ancien du Bureau Petit_Bateau Posted March 19, 2021 Ancien du Bureau Posted March 19, 2021 il y a 2 minutes, PhosphatidylFlorine a dit : @Petit_Bateau je vais t'embaucher en tant que secrétaire pour les perms du vendredi où je ne peux pas aller (c'est un job en plus d'être médecin bien évidemment ). heim and PhosphatidylFlorine 1 1 Quote
Recommended Posts
Join the conversation
You can post now and register later. If you have an account, sign in now to post with your account.
Note: Your post will require moderator approval before it will be visible.