ysoleucine Posted February 23, 2021 Posted February 23, 2021 (edited) Retard retard bonsoir! Je comprends pas pourquoi la molécule 1 est moins acide que la 2. Pls halp Zé tout Merci beaucouup PS c'est l'item C au fait question bonus! Est ce qu'on peut toujours dire d'un méso qu'il est érythro? Edited February 23, 2021 by _ew_feelings Quote
Shrex Posted February 23, 2021 Posted February 23, 2021 @_ew_feelings L'énoncé du QCM c'est "C) Le composé 1 est moins acide que le composé 2." et il est compté FAUX donc la 1 est plus acide que 2 Quote
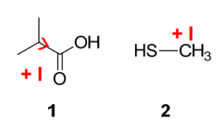
ysoleucine Posted February 23, 2021 Author Posted February 23, 2021 il y a 2 minutes, Shrex a dit : @_ew_feelings L'énoncé du QCM c'est "C) Le composé 1 est moins acide que le composé 2." et il est compté FAUX donc la 1 est plus acide que 2 Oui pardon t'as raison! Du coup, je vois juste pas comment on les compare en fait savoir lequel est le plus/moins acide toussa toussa Quote
Ancien Responsable Matière Zeepek Posted February 23, 2021 Ancien Responsable Matière Posted February 23, 2021 il y a 7 minutes, _ew_feelings a dit : question bonus! Est ce qu'on peut toujours dire d'un méso qu'il est érythro? J'ai noté : un méso est tjrs érythro mais un érytrho n'est pas toujours méso vu que méso = érythro + plan de symétrie ysoleucine 1 Quote
ysoleucine Posted February 23, 2021 Author Posted February 23, 2021 il y a 1 minute, Zeepek a dit : un méso est tjrs érythro merzi merzi! ca m'évitera de taper mes meilleurs "hop il est méso donc "erythro" faux" (c'est pas la première fois en plus :') Quote
Solution Shrex Posted February 23, 2021 Solution Posted February 23, 2021 à l’instant, _ew_feelings a dit : je vois juste pas comment on les compare Là c'est tout simple, tu vois que 1 c'est un acide carboxylique et 2 un thiol et R-COOH est plus acide que R-SH T'as un récapitulatif des fonctions ici classées en fonction de leur acidité (et aussi basicité du coup) Quote
ysoleucine Posted February 23, 2021 Author Posted February 23, 2021 il y a 1 minute, Shrex a dit : Là c'est tout simple, tu vois que 1 c'est un acide carboxylique et 2 un thiol et R-COOH est plus acide que R-SH Du coup à partir de là, mes observations sur les différents effets inductifs c'est poubelle ? Genre c'est que pour comparer au sein d'une même classe ? il y a 2 minutes, Shrex a dit : T'as un récapitulatif des fonctions ici classées en fonction de leur acidité (et aussi basicité du coup) Ca part l'afficher sur mon miroir! Merci beaucoup Quote
Shrex Posted February 23, 2021 Posted February 23, 2021 il y a 1 minute, _ew_feelings a dit : Genre c'est que pour comparer au sein d'une même classe ? Oui voilà, si ça avait été tous les 2 des alcools par exemple, c'est là que tu dois comparer avec effets donneurs et attracteurs Sans-Visage 1 Quote
ysoleucine Posted February 23, 2021 Author Posted February 23, 2021 @Shrex Tu gères la fougère mec merci beaucoup! Shrex 1 Quote
Shrex Posted February 23, 2021 Posted February 23, 2021 @_ew_feelings Y a sûrement des sujets référencés qui pourront t'aider pour la comparaison entre les mêmes fonctions Bonne chance !! ysoleucine 1 Quote
Recommended Posts
Join the conversation
You can post now and register later. If you have an account, sign in now to post with your account.
Note: Your post will require moderator approval before it will be visible.