Jump to content

Déshydratation intra moléculaire


Go to solution Solved by candicelvl,

Recommended Posts

  • Solution
Posted (edited)

Holà ! 

 

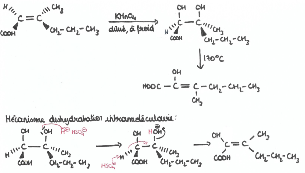
J'ai refais la réaction, en t'expliquant le mécanisme

650490292_Capturedcran2021-02-1310_42_48.thumb.png.cee0736bdffa09fc7a5f2538d5991881.png

 

Du coup, quand tu fais une déshydratation intramoléculaire, tu fais une réaction d'élimination. Dans le cas du composé A, tu as deux fonctions hydroxyle donc tu en choisi une pour faire la réaction. J'ai tout détaillé dans mon schéma, mais si tu as des questions dessus n'hésite pas. 

 

Par contre, je ne comprends pas pourquoi l'item est E est juste, j'ai l'impression que le méthyle à été oublié... 

@Paul__onium @Squee ?

 

C'est le QCM 42 des annales PACES actualisées dans la rubrique PASS

Edited by candicelvl

Join the conversation

You can post now and register later. If you have an account, sign in now to post with your account.
Note: Your post will require moderator approval before it will be visible.

Guest
Reply to this topic...

×   Pasted as rich text.   Paste as plain text instead

  Only 75 emoji are allowed.

×   Your link has been automatically embedded.   Display as a link instead

×   Your previous content has been restored.   Clear editor

×   You cannot paste images directly. Upload or insert images from URL.

  • Recently Browsing   0 members

    • No registered users viewing this page.
×
×
  • Create New...