Jump to content

petite chimie adorée


Go to solution Solved by candicelvl,

Recommended Posts

Posted

coucou

*ici https://ibb.co/sv0S6J4

on nous dit (A) réagit avec du permanganate dilué et à froid pour former (C) donc logiquement on est dans le cas d'une substitution mais il y a qu'une addition?

*ici https://ibb.co/q1F1X0N

je ne comprends pas ce qu'il lui est arrivé au 2e OH car on est dans une réaction du permanganate concentré et à chaud? (élimination?)

*est-ce que qqn pourrait me dessiner ce qu'on aurait ici ? https://ibb.co/m0C5KMc

*je n'ai pas compris la correction de la A de ce qcm https://ibb.co/6PHHznB

*je n'ai pas non plus compris pourquoi l'ac 1 ici ne pouvait pas etre écarté et pourquoi il ne détecte rien ? est-ce que ça veut dire qu'il est peut peut-etre detecter les epitopes conformationnels ? https://ibb.co/xGgTn6h

*je ne comprends pas pourquoi la E est vraie car si l'épitope est conformationnel ça ne marche plus..., nn? https://ibb.co/0Jh4TMg

 

*quand on parle de la technique ELISA on fait référence à ELISA indirect, nn?

 

merci

  • Ancien Responsable Matière
Posted (edited)

@lorinne Salut,

il y a 9 minutes, lorinne a dit :

*ici https://ibb.co/q1F1X0N

je ne comprends pas ce qu'il lui est arrivé au 2e OH car on est dans une réaction du permanganate concentré et à chaud? (élimination?)

Je ne crois pas qu'on appelle ça une élimination c'est une oxydation avec une coupure de la double liaison !!

 

ah @candicelvl (je n'avais pas vu que tu étais en train d'écrire !!)

Edited by Herlock
Posted (edited)

Coucou ! 

 

Est-ce que tu pourrais préciser la provenance de chaque QCM s'il te plait pour que je puisse mieux comprendre 😉

 

En tout cas, lorsque que tu as une réaction avec du permanganate de potassium dilué à froid c'est une cis-addition et non une substitution. Tu obtiens un a-diol. 

 

Citation

ah @candicelvl (je n'avais pas vu que tu étais en train d'écrire !!)

@HerlockC'est pas grave, le plus rapide répond 😁

 

Edited by candicelvl
  • Solution
Posted (edited)

Pour ta première question, comme j'ai dit avant, quand tu utilise du permanganate dilué et à froid tu fais une cis-addition, tu formes un a-diol. 

Tu additionnes donc deux OH, comme c'est dessiné dans la correction de la colle.

 1089216097_Capturedcran2021-02-1217_13_13.png.27a9abf45776bb621ac4fda00290f65b.png

 

Pour la deuxième question, on sait que la molécule (A) réagit avec du permanganate concentré et à chaud pour former (D) et un acide. Donc ici, tu réalise une oxydation forte, avec coupure de la double liaison C-C. 

1894606121_Capturedcran2021-02-1217_23_41.png.6767e30b63ce9bdcd90361e08b8611e6.png 

En réalisant une oxydation forte sur cette molécule, on obtient une cétone (dans le cas du qcm c'est D) et un acide. Je te remet la partie du diapo qui correspond à notre cas de figure (diapo 65)125965889_Capturedcran2021-02-1217_22_30.png.89007660241747e4c3a4bfa84bf66713.png

 

Je crois que pour ces deux premières questions tu as oublié que tu partais uniquement de la molécule A. 

 

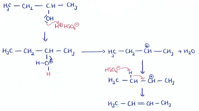
Pour ta troisième question, je t'ai détaillé tout le mécanisme pour la formation de B, mais du coup c'est le même mécanisme pour C (qui est minoritaire). 1085316499_Capturedcran2021-02-1217_36_47.png.b020540dbef2c1fd8fc8aeecd4677dc3.png                                2123527382_Capturedcran2021-02-1217_37_12.png.8e2233ec001baf600604136ae89f4408.png

 

J'espère que c'est clair, sinon je peux réexpliquer 😉

 

 

Pour la deuxième partie de tes question

 

L'item A est vrai car avant de pouvoir purifier la Majorine, il faut la produire en grande quantité. Donc une fois que l'ADNc de Majorine est intégré dans le plasmide, on insère ce plasmide dans des bactéries par exemple parce que le promoteur est procaryote. Si on injecte le plasmide dans des cellules souches sanguines, il n'y aura pas de production de Majorine et on ne pourra donc pas la purifier. 

C'est plus clair ou non ? 

 

Ensuite, comme écrit dans la correction de la colle, on ne peut pas éliminer l'anticorps 1 car il est susceptible de reconnaitre un épitope séquentiel porté par "Numerus 1". En effet, les épitopes séquentiels peuvent être masqués dans des conditions dénaturantes. 

Tu comprends mieux ? 

 

La E est vraie parce que d'après le QCM 25, on sait que l'anticorps 1 ne reconnait pas d'épitope conformationnel de "Numerus 1". On va donc réaliser une expérience en conditions dénaturantes afin de savoir s'il reconnait alors des épitopes séquentiels. A l'issue de cette expérience, on peut déterminer sa spécificité en observant quel "numerus" il reconnait. 

ça te semble plus clair ou non ? 

 

Ensuite, il me semble que c'est toujours précisé si tu as affaire à un ELISA indirect. 
En effet, comme tu l'as vu dans le cours d'immunoanalyse, il y a plusieurs types d'ELISA. 

 

J'ai essayé de détailler un maximum mais s'il te reste des questions n'hésite surtout pas ! 

Edited by candicelvl
Posted
Il y a 21 heures, candicelvl a dit :

Si on injecte le plasmide dans des cellules souches sanguines, il n'y aura pas de production de Majorine et on ne pourra donc pas la purifier

@candicelvlcoucou j'espère que tu vas bien! merci beaucoup d'avoir répondu à toutes mes questions ❤️ je ne comprends pas ici pourquoi ça marcherait pas? stp

Il y a 21 heures, candicelvl a dit :

En effet, les épitopes séquentiels peuvent être masqués dans des conditions dénaturantes. 

Ici je pensais que c'était plutôt les épitopes conformationnels qui pouvaient être éliminés par les conditions dénaturantes? stp 🙂

Posted
il y a une heure, lorinne a dit :

@candicelvlje ne comprends pas ici pourquoi ça marcherait pas? stp

Ca ne marcherait pas parce que avant de purifier Majorine, il faut en produire beaucoup. Or, si tu injecte le plasmide dans des cellules souches sanguines qui ne sont pas des cellules procaryotes, il n'y aura pas de production car le promoteur lui est procaryote. C'est plus clair ? 

 

il y a une heure, lorinne a dit :

Ici je pensais que c'était plutôt les épitopes conformationnels qui pouvaient être éliminés par les conditions dénaturantes? stp 🙂

Alors je me suis trompée, je voulais dire que les épitopes séquentiels peuvent être masqués dans des conditions non dénaturantes pardon. 

Donc effectivement, c'est les épitopes conformationnels qui sont éliminés dans les conditions dénaturantes. 

En rectifiant tu comprends mieux l'item ou toujours pas ? Désolé de m'être embrouillée 😅

Join the conversation

You can post now and register later. If you have an account, sign in now to post with your account.
Note: Your post will require moderator approval before it will be visible.

Guest
Reply to this topic...

×   Pasted as rich text.   Paste as plain text instead

  Only 75 emoji are allowed.

×   Your link has been automatically embedded.   Display as a link instead

×   Your previous content has been restored.   Clear editor

×   You cannot paste images directly. Upload or insert images from URL.

  • Recently Browsing   0 members

    • No registered users viewing this page.
×
×
  • Create New...