juliette5 Posted January 30, 2021 Posted January 30, 2021 Bonjour, je comprend pas pourquoi cet item est faux. C'est bien le O qui est donneur pourtant Quote
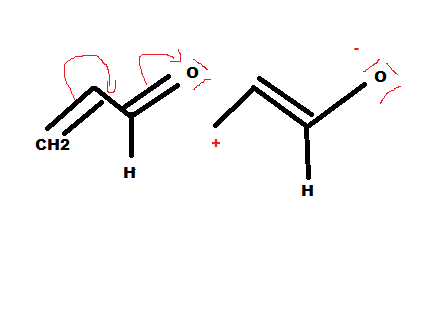
Ancien Responsable Matière Herlock Posted January 30, 2021 Ancien Responsable Matière Posted January 30, 2021 @juliette5Oui mais sur la molécule de gauche ton O est doublement lié, il est alors attracteur et non plus donneur, donc dans ce qcm c'est bien faux car il y a inversion des charges, le O va récupérer une liaison, s'il avait été lié avec seulement une liaison alors il aurait été donneur ! Marinaddt and virasolelh 1 1 Quote
juliette5 Posted January 30, 2021 Author Posted January 30, 2021 je comprend pas pourquoi il devient attracteur alors que l'autre aussi est doublement lié Quote
Ancien Responsable Matière Herlock Posted January 30, 2021 Ancien Responsable Matière Posted January 30, 2021 (edited) @juliette5on s'intéresse ici au O et c'est lui le précurseur, une fois qu'on s'est "occupé" de lui on pourra alors regarder pour le CH2 doublement lié, le O est attracteur donc il va récupérer une des deux liaisons de la double liaison, il sera alors chargé moins puis il faut rétablir la perte d'électrons sur le C qui était doublement lié au O, pour ça on va alors déplacer la double liaison du CH2 doublement lié, celui va alors perdre un électron donc chargé plus, et en déplaçant la double liaison, on l'a retrouve sur le C celui ci est alors lié au H, lié au O et doublement lié au CH, le C est bien au final tétravalent comme au départ, ça va mieux ? Edited January 30, 2021 by Herlock Quote
virasolelh Posted January 30, 2021 Posted January 30, 2021 le O est bcp plus électronégatif que le C, donc il attire les électrons :)) Quote
Solution Provencal_le_gaulois Posted January 30, 2021 Solution Posted January 30, 2021 Coucou @juliette5 Dans les effets mésomères, globalement les O au bout d'une dL ils sont très attracteurs donc il vont avoir la priorité. Mais @Herlocket @sugar_froggytombent très juste ! leurs explications sont bonnes ! Dis-nous si ça ne va pas. virasolelh and Herlock 2 Quote
juliette5 Posted January 30, 2021 Author Posted January 30, 2021 C'est bon j'ai tout compris!! Merci beaucoup à vous trois @Herlock @Provencal_le_gaulois @sugar_froggy  Herlock and virasolelh 1 1 Quote
Recommended Posts
Join the conversation
You can post now and register later. If you have an account, sign in now to post with your account.
Note: Your post will require moderator approval before it will be visible.