Jump to content

Mésomérie poly tat


Go to solution Solved by Herlock,

Recommended Posts

  • Ancien Responsable Matière
Posted (edited)

Salut! J'espère que votre weekend s'est bien passé

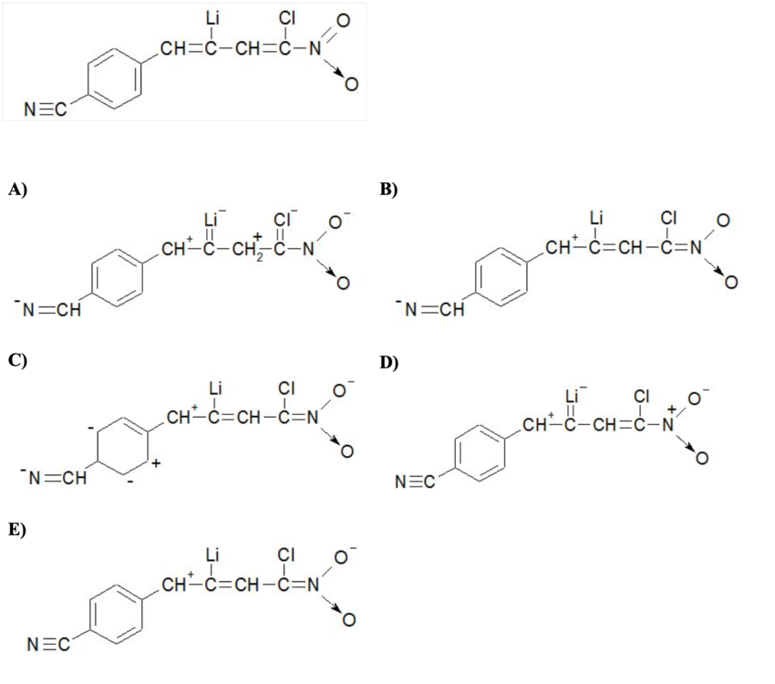
J'ai un peu de mal à comprendre cette mésomérie du poly du tat:

447532511_Capturedecran2021-01-18a21_21_10.thumb.png.2e39b0b5a7ec32b5c92a1943057cfdfb.png

La D est comptée vraie mais je comprend pas pourquoi le Li prend une charge - alors qu'on lui rajoute une double liaison ?

Dans le cas de l'oxygène, lorsqu'il est lié qu'une seule fois il prend une charge -, et quand il est doublement lié il est neutre alors pourquoi ça marche pas pareil pour le Lithium ?

Merci !

 

Edited by PASSoire
  • Ancien Responsable Matière
  • Solution
Posted (edited)

@PASSoire Est ce que tu aurais la référence parce qu'il me semble l'avoir vu dans un autre post ?

 

Pour le qcm 13 il y a des réponses ici : 

et celui-ci pour le Li en particulier : 

 

Edited by Herlock
Posted

bonsoir @PASSoire, nous cherchons  une réponse à ta question avec les tuteurs, mais les qcm sont assez complexes, et Mme El Hage ne vous posera jamais des qcm aussi compliqués. 

 

Ce pendant, le O se comporte ainsi car il est mésomère attracteur quand il est précédé de la double liaison et mésomère donneur quand il a un moins. 

 

Bon courage et ne te triture pas trop de cerveau avec ce qcm !

 

Bonne soirée 

Join the conversation

You can post now and register later. If you have an account, sign in now to post with your account.
Note: Your post will require moderator approval before it will be visible.

Guest
Reply to this topic...

×   Pasted as rich text.   Paste as plain text instead

  Only 75 emoji are allowed.

×   Your link has been automatically embedded.   Display as a link instead

×   Your previous content has been restored.   Clear editor

×   You cannot paste images directly. Upload or insert images from URL.

  • Recently Browsing   0 members

    • No registered users viewing this page.
×
×
  • Create New...