eurybie Posted January 11, 2021 Posted January 11, 2021 (edited) Bonjour, j'aurais aimé savoir comment aborder ce genre de qcm pour pas se tromper, la technique a adopté Edited January 11, 2021 by stabiloboss Quote
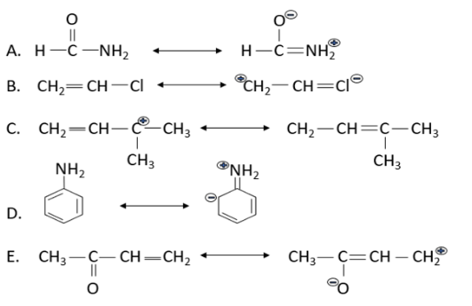
l0veuse_2_coquillettes Posted January 11, 2021 Posted January 11, 2021 Coucou @stabiloboss ! alors la A est bien correcte : ici, on est face à une mésomérie. De plus, le C = O est attracteur par effet mésomère (petit rappel : l'oxygène est + électronégatif que l'azote) donc ici c'est good. Et sinon concernant la technique pour bien aborder le QCM de mésomérie / effet inductif au CC, je pense qu'il faut bien que tu comprennes déjà ce qu'est la mésomérie et les effets inductifs et quand est-ce que l'on se retrouve face à un cas de mésomérie, ou bien d'effet inductif (c'est vraiment l'étape number 1 !!) sache +++ que la mésomérie l'emporte toujours sur l'effet inductif ensuite, que tu apprennes quels groupes sont donneurs / attracteurs par effet M / I ex. les halogènes --> attracteurs par effet inductif donneurs par effet mésomère je pense que 95% de l'apprentissage sur ce cours c'est vraiment de bien comprendre ! c'est souvent logique, et tu as tout le semestre pour bien le revoir ; je t'assure que ça va rentrer et que ça va devenir automatique au bout d'un moment ! au début c'est normal j'étais comme toi en primante ! si tu as des questions + précises sinon vraiment n'hésite pas ! je t'envoie plein de courage zazouette and Alpass 2 Quote
eurybie Posted January 11, 2021 Author Posted January 11, 2021 @Coquillettes_o_Beurdéjà merci de me répondre la veille de ton concours !!! Du coup pour cette forme mésomère je n'arrive pas à comprendre la logique ... Bon courage à toi surtout !! l0veuse_2_coquillettes 1 Quote
Solution l0veuse_2_coquillettes Posted January 11, 2021 Solution Posted January 11, 2021 @stabiloboss pas de souci ! j'espère réussir à t'aider un peu je t'ai fais un schéma avec le déplacement des liaisons et les charges, dis-moi si ç t'aide à comprendre : https://zupimages.net/viewer.php?id=21/02/fbq8.png il y a 9 minutes, stabiloboss a dit : Bon courage à toi surtout !! merci hihi adorable Quote
eurybie Posted January 11, 2021 Author Posted January 11, 2021 il y a une heure, Coquillettes_o_Beur a dit : merci hihi adorable c'est moi qui te dit merci pâtes aux beurres l0veuse_2_coquillettes 1 Quote
Recommended Posts
Join the conversation
You can post now and register later. If you have an account, sign in now to post with your account.
Note: Your post will require moderator approval before it will be visible.