Hibou Posted January 8, 2021 Posted January 8, 2021 Bonjour ! https://zupimages.net/viewer.php?id=21/01/5mxu.png je ne comprends pas d'où sort de 5 dans le calcul du DL https://zupimages.net/viewer.php?id=21/01/c93k.png ici pour la C j'aurais dis faux --> 1-Se; or à la correction ils disent faux --> 1-VPN; je ne comprends pas bien comment discriminer les deux. Merci par avance Quote
Solution LuMaths Posted January 8, 2021 Solution Posted January 8, 2021 (edited) Salut @Hibou! il y a une heure, Hibou a dit : https://zupimages.net/viewer.php?id=21/01/5mxu.png je ne comprends pas d'où sort de 5 dans le calcul du DL C'est une erreur de frappe, il s'agit bien d'un 2 et ça donne bien le bon résultat final. il y a une heure, Hibou a dit : https://zupimages.net/viewer.php?id=21/01/c93k.png ici pour la C j'aurais dis faux --> 1-Se; or à la correction ils disent faux --> 1-VPN; je ne comprends pas bien comment discriminer les deux. C'est P(T+ I M-) qui vaut 1-Spe et P(T- I M+) qui vaut 1-Se. Tandis que P(M+ I T-)=1-VPN effectivement. Est-ce que c'est bon pour toi? Edited January 8, 2021 by LuMaths Quote
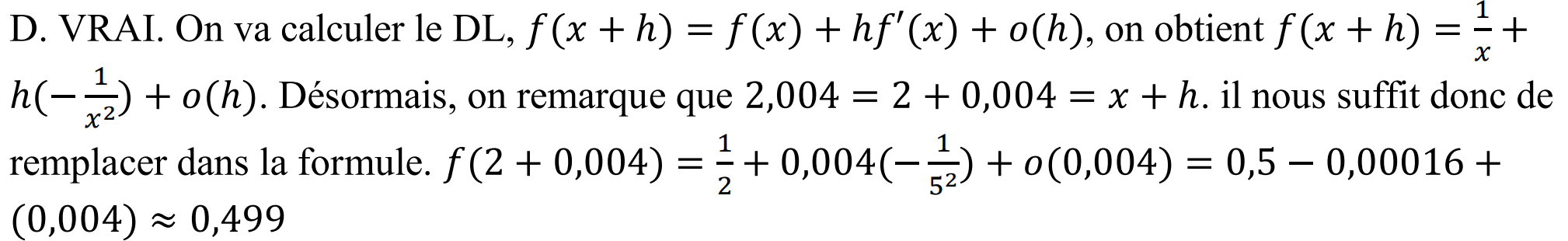
Hibou Posted January 8, 2021 Author Posted January 8, 2021 il y a une heure, LuMaths a dit : ça donne bien le bon résultat final. Merci pour cette réponse @LuMaths, ici j'ai encore un soucis, avec 2 dans le calcul je trouve 0.004*(-0.25) = -0.001 + 0.004 et non -0.00016 + 0.004 Quote
LuMaths Posted January 8, 2021 Posted January 8, 2021 (edited) Il y a 2 heures, Hibou a dit : Merci pour cette réponse @LuMaths, ici j'ai encore un soucis, avec 2 dans le calcul je trouve 0.004*(-0.25) = -0.001 + 0.004 et non -0.00016 + 0.004 Oui, c'est bien ça; en négligeant o(h)=o(0,004), on a f(2,004) 0,5-0,004*(1/2^2) = 0,5-0,004*(1/4) = 0,5-0,001 = 0,499 . Est-ce que c'est mieux? Edited January 8, 2021 by LuMaths Hibou 1 Quote
Ancien Responsable Matière saraahh Posted January 8, 2021 Ancien Responsable Matière Posted January 8, 2021 @LuMaths désolée je m'incruste mais je ne comprends pas les 1-Se, 1-Spe etc juste parce que enlever un truc à 1 ça va pas, j'ai toujours l'impression qu'il faut l'enlever direct à la proportion de malade ou de test positif directement.. c'est pas clair donc pour l'item du post je pensais qu'on parlait de proba conditionnelles à cause du fait qu'on parle et d'embolie pulmonaire et de test négatif, pour moi avoir embolie sachant que le test est négatif c'est parmi les tests négatifs on prend les malades et pas juste enlever les test négatif sachant que les individus sont sains dans toute la population =1 je n'arrive pas à expliciter mon problème plus clairement... mais si tu vois l'erreur ou si tu peux m'aider merci d'avance ! Quote
LuMaths Posted January 8, 2021 Posted January 8, 2021 (edited) Coucou @saraahh! Non il n'y a pas de souci. Je vais tenter d'expliciter la manière dont j'ai procédé pour voir si on arrive un peu mieux à comprendre. Il s'agit bien de raisonner sur les probabilités conditionnelles. Je pense qu'il y a plusieurs moyens de le faire; personnellement, je préfère raisonner sur les arbres de probabilités. On peut aussi vérifier en passant par les formules du cours (théorème de Bayes); ce qui rejoint tout-à-fait ce que tu dis il me semble. Ici: , or on a bien . Je ne sais pas si ça répond à ton problème... Tu me dis. Edited January 8, 2021 by LuMaths Quote
Ancien Responsable Matière saraahh Posted January 8, 2021 Ancien Responsable Matière Posted January 8, 2021 ahhh ok c'est bon !! j'ai juste du mal avec les formules avec p, Se et Spe un peu par flemme j'avoue @LuMaths encore merci t'es vraiment géniale Quote
Recommended Posts
Join the conversation
You can post now and register later. If you have an account, sign in now to post with your account.
Note: Your post will require moderator approval before it will be visible.