Jump to content

Recommended Posts

Posted (edited)

Helloo

Je vais te détailler le qcm 18 et le 19 un peu plus tard

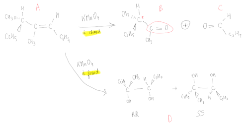
Donc pour commencer un petit schéma qui résume le qcm (désolée il est pas très beau 😅)

image.png.c8efb6ccc5d271cf59923d465023695a.png

Il faut savoir que sur un alcène :

-> le KMnO4 concentré à chaud brise la double liaison pour former deux composés carbonylés (en gros tu coupes ta molécule et tu mets des =O à l'endroit où elle se trouvait sur chaque C)

-> le KMnO4 dilué à froid est une cis-addition de groupement OH sur chaque C de la double liaison

 

- pour l'item A c'est de la nomenclature, il est normalement vrai

- pour l'item B, il est aussi vrai : tu peux voir sur le schéma que dans les deux réactions on a une oxydation de A

- pour l'item C, je t'ai entouré en rouge la fonction cétone (qui est une fonction carbonyle avec aldéhyde) donc vrai

- pour l'item D on trouve aussi vrai

- pour l'item E, tu obtiens un mélange RR SS comme composé D sauf que le C numéro 3 reste de configuration S donc ce seront des diastéréoisomères -> faux

N'hésite pas à dire si quelque chose n'est pas clair 😉

 

Bonne journée !

Edited by Nezuko
Posted

Pour le qcm 19

image.png.870f8f3f23479552043af5f621936f2b.png

-> L'hydroxylamine fait parti des composés faisant une addition nucléophile suivie d'une élimination sur les carbonylés (avec d'autres fonctions à apprendre dans le cours, diapo 193 si jamais)

-> Le LiAlH4 fait une réduction donnant un alcool I si ton composé à la base est un aldéhyde ou un alcool II si c'est une cétone (notre cas ici)

 

- item A : dit juste au-dessus, donc c'est vrai

- item B : c'est vrai, comme tu peux le voir on obtient un composé Z et un autre E du coup ce sont bien des diastéréoisomères

- item C : le C numéro 3 reste encore et toujours (comme au qcm précédent) de configuration S donc c'est faux; cependant E est bien de configuration E car on précise dans l'énoncé que c'est le composé le plus stable

- item D : on a bien 2 C* mais le C3 reste S (je pense qu'on le sait maintenant ^^) donc on obtient seulement les configurations SS et SR pour F -> faux

- item E : comme précisé avant LiAlH4 (tout comme LiH) font une réduction donc vrai

Join the conversation

You can post now and register later. If you have an account, sign in now to post with your account.
Note: Your post will require moderator approval before it will be visible.

Guest
Reply to this topic...

×   Pasted as rich text.   Paste as plain text instead

  Only 75 emoji are allowed.

×   Your link has been automatically embedded.   Display as a link instead

×   Your previous content has been restored.   Clear editor

×   You cannot paste images directly. Upload or insert images from URL.

  • Recently Browsing   0 members

    • No registered users viewing this page.
×
×
  • Create New...
Radio