Jump to content

QCM peptide


Go to solution Solved by OxyGenS,

Recommended Posts

Posted

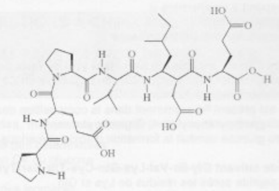
Bonjour, ce peptide me donne du fil à retordre, d'après la correction du QCM qui va avec on est censé trouvé 5 liaisons peptidiques et 6 acides aminés mais je n'avais pas trouvé ça (j'avais l'impression que parfois on a des liaisons qui ne sont pas peptidiques mais apparemment ce n'est pas le cas) et je n'arrive pas à bien délimiter ces fameuses 5 liaisons peptidiques ici 😅.  Si quelqu'un voulait bien m'aider à démêler tout ça ce serait super chouette ! Merci d'avance 🙃 

 

88yi.png

Join the conversation

You can post now and register later. If you have an account, sign in now to post with your account.
Note: Your post will require moderator approval before it will be visible.

Guest
Reply to this topic...

×   Pasted as rich text.   Paste as plain text instead

  Only 75 emoji are allowed.

×   Your link has been automatically embedded.   Display as a link instead

×   Your previous content has been restored.   Clear editor

×   You cannot paste images directly. Upload or insert images from URL.

  • Recently Browsing   0 members

    • No registered users viewing this page.
×
×
  • Create New...