Jump to content

ça m'ARRANGE pas trop tout ça


Go to solution Solved by Sans-Visage,

Recommended Posts

Posted (edited)

bonjour, 

comment on fait pour calculer des arrangements de tête ? parce que j'ai jamais vu ça dans les colles mais on a la formule dans le cours mais je ne l'ai jamais utilisée et d'ailleurs je sais même pas dans quel cas on doit l'utiliser 

idem pour les combinaisons 

parce que dans le cours ils ont mis des exemples avec des tirages de boules dans un sac mais je pense bien qu'au concours ils vont pas faire ce genre d'application là quoi 😶 

Edited by OphelieS
  • Ancien du Bureau
  • Solution
Posted

Hey! 

Pour les combinaisons, il nous avait bien dit en cours qu'on aura pas à les calculer.

Les arrangements, j'ai pas souvenir, mais tu peux être sure qu'ils vont pas nous mettre des calculs infaisables (rien que pour les statistiques de test, le Pr. White-Koning a dit qu'elle nous demanderait plutôt de trouver le numérateur/dénominateur que d'appliquer la formule en entiers, et si tu regardes ça correspond avec ce qu'on a dans les TD).

Bon courage !!! :)) 

Posted
il y a 9 minutes, DuTACKauTac a dit :

Hey! 

Pour les combinaisons, il nous avait bien dit en cours qu'on aura pas à les calculer.

Les arrangements, j'ai pas souvenir, mais tu peux être sure qu'ils vont pas nous mettre des calculs infaisables (rien que pour les statistiques de test, le Pr. White-Koning a dit qu'elle nous demanderait plutôt de trouver le numérateur/dénominateur que d'appliquer la formule en entiers, et si tu regardes ça correspond avec ce qu'on a dans les TD).

Bon courage !!! :)) 

merci

  • Ancien du Bureau
Posted
il y a 5 minutes, DuTACKauTac a dit :

Hey! 

Pour les combinaisons, il nous avait bien dit en cours qu'on aura pas à les calculer.

Les arrangements, j'ai pas souvenir, mais tu peux être sure qu'ils vont pas nous mettre des calculs infaisables (rien que pour les statistiques de test, le Pr. White-Koning a dit qu'elle nous demanderait plutôt de trouver le numérateur/dénominateur que d'appliquer la formule en entiers, et si tu regardes ça correspond avec ce qu'on a dans les TD).

Bon courage !!! :)) 

"les arrangements de tête" c'est quoi ça mdrrr

Posted
Il y a 4 heures, DuTACKauTac a dit :

Pour les combinaisons, il nous avait bien dit en cours qu'on aura pas à les calculer.

Je te confirme elle ne demande pas de les calculer et c'est pareil pour arrangement ne te prends pas la tete 😉

 

Par contre elle peut te le présenter comme ça (regarde l'item D) et tu est sensé comprendre

 

image.png.6cb569ef54116bf014c0035f90722783.png

 

Posted
il y a une heure, Tututo a dit :

Je te confirme elle ne demande pas de les calculer et c'est pareil pour arrangement ne te prends pas la tete 😉

 

Par contre elle peut te le présenter comme ça (regarde l'item D) et tu est sensé comprendre

 

image.png.6cb569ef54116bf014c0035f90722783.png

 

justement je comprends pas 😳

Posted
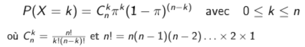
il y a 51 minutes, OphelieS a dit :

justement je comprends pas 😳

Tqt

 

Ici X suit une loi binomiale de paramètre p=0,15 et n=100

Dans ton cours on te dis que :

image.thumb.png.ce0157e980156adcd940190cffe6444c.png

 

Donc dans cette item tu as :

image.thumb.png.b55103b98e3045c598cd1ed442116e22.png

 

C'est plus clair ?

 

 

Join the conversation

You can post now and register later. If you have an account, sign in now to post with your account.
Note: Your post will require moderator approval before it will be visible.

Guest
Reply to this topic...

×   Pasted as rich text.   Paste as plain text instead

  Only 75 emoji are allowed.

×   Your link has been automatically embedded.   Display as a link instead

×   Your previous content has been restored.   Clear editor

×   You cannot paste images directly. Upload or insert images from URL.

  • Recently Browsing   0 members

    • No registered users viewing this page.
×
×
  • Create New...
Radio