Jump to content

corrélation linéaire


Go to solution Solved by agatheory,

Recommended Posts

  • Ancien du Bureau
Posted

bonjour, 

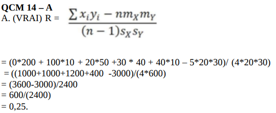
j'ai un petit soucis avec ce QCM par rapport à la correction. 

tout d'abord comment compter juste quelque chose qui a une valeur différente étant donné que 11/6 ne fait pas du tout 0.25 ??

 

ensuite mon problème principal est sur l'utilisation de la formule. je suis d'accord avec tout sauf la deuxième partie du numérateur ... pourquoi on utilise pour valeur de la moyenne la valeur de l'écart type ?? car d'après mes calcul (que je n'affirme pas duuuu touuuut etre justes) la moyenne de X est de 20 et celle de Y serait de 80 ce qui diffère totalement de la valeur des écarts types ... et le problème c'est que si j'en suis ma logique je me retrouve avec un résultat négatif car cela me donnerait (-4400/2400) et là on obtient bien 11/6 mais en négatif donc la réponse serait fausse ... 

 

encore une fois je vous fais plus confiance à vous qu'à moi donc je préfère demander une petit explication !! 

j'espère ne pas vous perdre (c'est dur d'expliquer des maths à l'écrit ...) mais je pense que c'est mieux pour vous de comprendre le problème qui se passe dans ma tête 😅

merci d'avance pour votre réponse !!! a.PNG.f9bac1fcd3e61ab37e9ce4c257676db0.PNGaa.PNG.57829829948a357bf69bad0b75f8a8b0.PNG

Join the conversation

You can post now and register later. If you have an account, sign in now to post with your account.
Note: Your post will require moderator approval before it will be visible.

Guest
Reply to this topic...

×   Pasted as rich text.   Paste as plain text instead

  Only 75 emoji are allowed.

×   Your link has been automatically embedded.   Display as a link instead

×   Your previous content has been restored.   Clear editor

×   You cannot paste images directly. Upload or insert images from URL.

  • Recently Browsing   0 members

    • No registered users viewing this page.
×
×
  • Create New...
Radio