Jump to content

Glucides questions


Go to solution Solved by SoFosBuVir,

Recommended Posts

Posted

Bonjour, 

 

Est ce que quelqu'un pourrait m'éclairer quelques petits points à propos des glucides s'il vous plait?😇

 

  • pourquoi les aldoses à 5 carbones sont-ils des isomères des cétoses à 5 carbones ?
  • j'ai du mal à voir pourquoi la vitamine C dérive du L glucose 
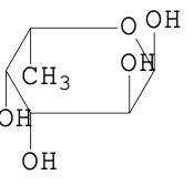
  • 910787701_Capturedcran2020-11-2808_54_23.png.c1739cb585bdaec67a8402e882a650f7.pngj'ai du mal à comprendre car dans un qcm on nous donnait cette molécule mais sur le 5e carbone il n'était pas représenté un CH3 en plus mais deux liaisons H de part et d'autre de ce 5e carbone, et je ne comprends pas trop comment fait on pour passer à un CH3. Il est également dit que c'est un  D-ribose cyclisé en pyranose : aldopentose,  mais ce n'est pas plutôt un L ribose? étant donné que le CH3 est vers le bas donc on a une cyclisation à gauche non?
  • les oses reliés par des liaisons alpha glycosidiques sont ceux qui ont un OH anomère alpha ? 
  • dans un qcm, il évoquait la formation d'un hémiacétal mais je ne vois pas du toutttt ce que c'est😅
  • Dans une correction de qcm on nous dit: Pour les énantiomères, il faut regarder les séries D et L.; mais des énantiomères, ils sont images dans un miroir non? du coup même s' ils sont de séries différentes, je ne vois pas trop en quoi cela implique qu'ils soient énantiomères. Car ils peuvent avoir un même carbone au sein de leur chaine qui soit placé du même côté pour les deux oses et donc qui engendrait le fait qu'ils ne soient pas énantiomères? Je ne suis pas du tout sure de ce raisonnement😅

 

Merci d'avance 😊

  • Ancien Responsable Matière
  • Solution
Posted

Bonsoir @Chloe2404 ! J'espère que tu vas bien !

 

Alors je vais répondre point par point

  • Les aldoses sont les isomères des cétoses a nombre de carbone équivalent, en effet les réactions d'isomérisations des oses passant par la formation d'un intermédiaire ène-diol ( avec une double liaison ) qui est très réducteur dans un milieu alcalin va permettre l'interconversion des aldoses en cétoses. Cela toujours à nombre équivalent de carbones car l'isomérisation réorganise juste les atomes entre eux sans en ajouter/enlever. ( illustration diapo 32 du cours ).
  • Euh alors la je vois pas trop si ce n'est que la vitamine C correspond à du L-glucose qui s'est cyclisé de façon particulière ( entre la fonction aldéhydique et la fonction OH portée par l'avant avant dernier C de la chaîne donc C4 donc sous forme furane ) avec en plus la présence d'une instauration ( diapo 41-42 ). La pas besoin de rentrer dans les détails je pense.
  • Ici la molécule que tu as envoyé n'est pas du D-ribose car le Oh porté par le C2 devrait être orienté vers le haut vu que tous les groupements OH du D-ribose sont orientés vers la droite en représentation de Fisher, c'est du 6-désoxy-alpha-L-glucopyranose. C'est pour cela que tu ne comprenais pas, le CH3 vient tout simplement du fait de la déshydroxylation en C6 qui va remplacer le OH par un CH3.
  • C'est exact pour le rapport entre liaison osidique et présence de l'anomérie !
  • Un hémiacétal correspond à la nouvelle fonction chimique qui apparaît lors de la cyclisation de ton ose ( diapo 17 ) mais je pense que c'est pas vraiment au programme ( peut être en chimie orga ), mais pour la biomol, tu dois savoir qu'un hémi-acétal se forme lors de la cyclisation de l'ose à l'endroit ou il y avait la fonction carbonyle et qu'un acétal ( sous entendu entier ) est retrouvé lors de la liaisons de 2 oses cyclisés entre eux. Ci dessous la fonction hémi-acétal ou le O correspond au O du pont oxydique autrement dit du O présent dans le cycle entre C1 et C5 en forme pyranose.               1980854162_Capturedcran2020-11-2901_00_51.png.17b907f5ab6150bcbf538748b7371eb0.png
  • Pour la question des énantiomères en fonction des séries je t'avoue que je n'ai pas trop compris ton raisonnement mais je t'invite à dessiner du D-glucose et du L-glucose cote à cote et tu verras qu'ils sont bien images l'un de l'autre dans un miroir donc symétrique l'un de l'autre dans un miroir. Cela se voit à l'orientation des OH portés par les Carbones de la chaîne ( on ne regarde pas les fonctions aldéhyde et alcool primaire de C6 car ils sont considérés fixes ) mais en gros tu vérifies que pour chaque OH secondaire est orienté à droite dans une série et à gauche dans l'autre série pour le même carbone et tu as bien tes énantiomères.

Voila voila hésites pas si tu as d'autres questions !

 

Bonne soirée et bon courage pour cette dernière ligne droite.

Posted
Il y a 19 heures, SoFosBuVir a dit :

C'est pour cela que tu ne comprenais pas, le CH3 vient tout simplement du fait de la déshydroxylation en C6 qui va remplacer le OH par un CH3.

oui mais cette représentation était celle de la correction. Car dans le sujet il n'y avait pas de CH3 mais deux H de part et d'autre du 5e carbone ... du coup c'est ca que j'ai surtout pas trop compris pourquoi on passer à du CH3

 

Il y a 19 heures, SoFosBuVir a dit :

je t'invite à dessiner du D-glucose et du L-glucose cote à cote et tu verras qu'ils sont bien images l'un de l'autre dans un miroir donc symétrique l'un de l'autre dans un miroir.

je les ai dessiné mais je ne vois pas trop pourquoi ils sont symétriques , peut être que je les ai mal dessiné mais c'est les mêmes mis à part le fait que les cycles soient de deux cotés différents. 

 

Et merci pour tes réponses, j'ai compris le reste 😇

  • Ancien Responsable Matière
Posted

La présence des deux H de chaque côté indique que tu n'as pas d'autre fonction, normalement tu as un OH ( alcool secondaire ) que tu retrouves sur tous les carbones de la chaînes sauf à l'endroit de la fonction carbonyle et au niveau du dernier carbone ou tu as un alcool primaire. Néanmoins quand tu as ces fonctions hydroxydes/carbonyles, tu as aussi des hydrogènes mais qui ne sont pas représentés. Ici donc par la déshydroxylation tu les représentes, mais c'est juste une question de notation. Ensuite pourquoi la présence du CH3, cela n'est pas à savoir mais les H seront instables donc une transférase ( enzyme ) viendra rajouter un CH3 pour stabiliser la molécule. 

 

Parce que les OH secondaires sont symétrique entre ceux du D-glucose et du L-glucose, tu n'as pas besoin de regarder comment se fait la formation du cycle, mais tu dois te dire que si pour C2 le OH est orienté à droite pour le D-glucose, alors il sera à gauche pour le C2 du L-glucose ( et ainsi de suite pour les autres carbones ).

 

Voilà j'espère que c'est plus clair maintenant !

 

Bonne soirée.

Join the conversation

You can post now and register later. If you have an account, sign in now to post with your account.
Note: Your post will require moderator approval before it will be visible.

Guest
Reply to this topic...

×   Pasted as rich text.   Paste as plain text instead

  Only 75 emoji are allowed.

×   Your link has been automatically embedded.   Display as a link instead

×   Your previous content has been restored.   Clear editor

×   You cannot paste images directly. Upload or insert images from URL.

  • Recently Browsing   0 members

    • No registered users viewing this page.
×
×
  • Create New...
Radio