Jump to content

moment en RMN


Go to solution Solved by SetiaHatiTerate,

Recommended Posts

Posted

Coucou!!

j'ai un gros problème en RMN, je ne comprends pas la différence entre moments angulaires et moments magnetiques!!

Sur le schema, on dirait que c'est la meme chose, a savoir l'axe de la toupie.

Sauf que le moment angulaire est censé etre perpendiculaire au CMS, alors que le moment magnetique est parallèle!! Ducoup je ne comprends pas dutout les items A et C!

https://goopics.net/i/rw8rD

Vraiment je suis desespérée, ca fait des heures que j'essaye de comprendre comment ca marche et qu'est ce qui est perpendiculaire a quoi, je sais plus quoi faire 😞

  • Solution
Posted

Salut,

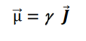
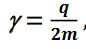
  Le moment magnétique est défini à partir du moment angulaire. On le définit pour une particule chargée ayant un spin non nul et / ou ayant une trajectoire circulaire qui lui permettent de générer un courant.

=> plus d'explication: la particule possède un moment angulaire J (de spin et / ou parce qu'elle décrit une trajectoire circulaire); si elle possède une charge q, alors elle possède un moment magnétique selon la formule suivante:

2054311002_MOMENTMAGNETIQUEFORMULE.PNG.53082b680623bce904cb1b39cce9aa7b.PNG

gamma étant le coefficient de proportionnalité entre le moment magnétique et le moment angulaire; ce coefficient de proportionnalité est appelé rapport gyromagnétique:

491126921_RAPPORTGYRO.PNG.c55601f4990cd253263271ebfee5c1e1.PNG

=> si q est nul (la particule n'est pas chargée) la particule ne comporte pas de moment magnétique

=> le moment magnétique est proportionnel au moment angulaire donc il est dans le même sens, dans la direction du champ magnétique

Posted

bonjour, 

je relance le sujet parce que je suis bloquées sur les mêmes items A(faux) et C (vrai). Pour moi la A est fausse car ce ne sont pas les moments angulaires des noyaux qui sont parallèles mais ce sont les moments magnétiques. Le pb c'est que du coup, pareil, j'ai bien compris que comme le moment magnétiques et le moment angulaire sont proportionnels, ils sont dans la meme direction et du coup dans la direction du champ magnétique. Mais du coup c'est absurde, pourquoi la A est fausse ? 

Posted

Ici je pense que le problème vient du fait que les moments angulaires sont en précession autour de Bet qu'ils ne sont donc pas perpendiculaires au champ magnétique (tout comme les moments magnétiques du coup)

Résonance magnétique nucléaire- Gérard Dupuis -

Posted

oui mais l'item A est faux et il dit que "les moments angulaires sont orientés parallèlement à la direction du champ magnétique" et cet item est compté faux car leur orientation n'est pas parallèle mais perpendiculaire 

je comprend vraiment pas ...

Posted

L'item est bien FAUX mais pas à cause de ce que dit la correction  

 

Les moments angulaires et magnétiques sont bien parallèles entre eux. Ces 2 moments sont en précession autour de B0.

 

En revanche la variation du moment angulaire (vecteur dL) est perpendiculaire aux 2 moments précédents

 

L'item reste faux puisque que le moment angulaire (comme le moment magnétique) est en précession autour de B0 et n'est donc pas dans la même direction.

Join the conversation

You can post now and register later. If you have an account, sign in now to post with your account.
Note: Your post will require moderator approval before it will be visible.

Guest
Reply to this topic...

×   Pasted as rich text.   Paste as plain text instead

  Only 75 emoji are allowed.

×   Your link has been automatically embedded.   Display as a link instead

×   Your previous content has been restored.   Clear editor

×   You cannot paste images directly. Upload or insert images from URL.

  • Recently Browsing   0 members

    • No registered users viewing this page.
×
×
  • Create New...
Radio