Jump to content

Equilibrer une réaction


Go to solution Solved by SBY,

Recommended Posts

Posted

Bonjour, je rencontre toujours ce problème pour équilibrer une réaction

 

0qwi.png

 

Le problème c'est que les calculs c'est vraiment pas mon truc, je me perds tout seul

 

par exemple, pour équilibrer le Cr2O7 -2

 

Je fait  Cr2O7 -2    + 3e                 =      2Cr3+

 

par contre dès que viennent les H2O et H3O+ je bug, parcequ'il faut respecter la quantité de H mais également de O, ça peut paraître assez triste mais je me perds vraiment quand j'essaye de les équilibrer, vous auriez pas une astuce pour ça Svp ?

 

Par exemple, j'ai 7O d'un côté ,   je rajoute        7H2O de l'autre,

Sauf que du coup faut rajouter les H3O+ maintenant pour équilibrer les H  ET en même temps les O  

 

Merci.

  • Ancien Responsable Matière
  • Solution
Posted

Salut @Anatomie !

Pour cette demi-équation tu pars de ton couple rédox  Cr2O72- -->Cr3+

 

Tu commences par équilibrer les Cr Cr2O72- -->2 Cr3+

 

Puis les O en ajoutant à droite de l'H2O  Cr2O72- -->2 Cr3+  + 7 H20

 

Ensuite tu équilibres les H en ajoutant des H+ à gauche Cr2O72- + 14 H+-->2 Cr3+  + 7 H20

 

Sauf que là tu ne peux pas garder de H dans ta réaction. Donc on va transformer les ions Hen H3O+  en ajoutant autant de molécules d'H2O que l'on a d'ions H+ à gauche et à droite de la demi-équation. Ca s'explique par le fait que, pour cette réaction, 14 H2O vont réagir avec nos 14H+ pour donner 14H3O+ (car H2O+H+ --> H3O+). Et pour bien équilibrer notre équation on oublie pas d'ajouter 14H2O à droite également. 

On aura donc :  Cr2O72- + 14 H 14  H3O+-->2 Cr3+  + 7 H20  21 H20 (On rajoute 14 H2O ici)

 

Une fois que tu as cette équation, il reste plus qu'à équilibrer les charges. A gauche on a 14-2 = 12 charges + et à droite on en a 6. 

On va donc ajouter 6e- et on retrouve Cr2O72- + 6e- + 14H3O+ --> 2Cr3+ + 21 H20

 

C'est bon pour toi pour le deuxième couple ou tu veux que je le détaille ?

J'espère que c'est plus clair. N'hésite pas sinon !

Bonne journée !

Posted

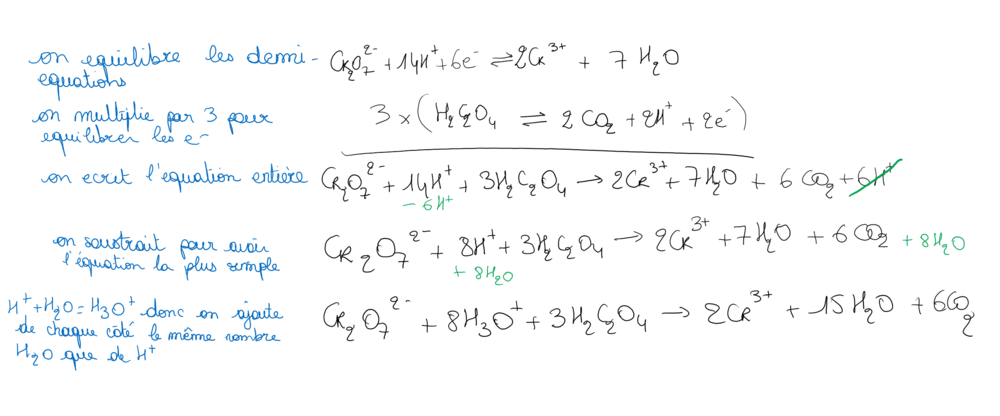
Alors moi ce que je te conseille pour ne pas t'embrouiller c'est d'equilibrer ta reaction en milieu acide classique. Comme tu l'as bien dit on equilibre les O en rajoutant des H20 puis on equilibre les H en rajoutant des H+. 

Capture d’écran 2020-11-08 145151.png

Posted
il y a 13 minutes, SBY a dit :

 

 

Salut @Anatomie !

Pour cette demi-équation tu pars de ton couple rédox  Cr2O72- -->Cr3+

 

Tu commences par équilibrer les Cr Cr2O72- -->2 Cr3+

 

Puis les O en ajoutant à droite de l'H2O  Cr2O72- -->2 Cr3+  + 7 H20

 

Ensuite tu équilibres les H en ajoutant des H+ à gauche Cr2O72- + 14 H+-->2 Cr3+  + 7 H20

 

Sauf que là tu ne peux pas garder de H dans ta réaction. Donc on va transformer les ions Hen H3O+  en ajoutant autant de molécules d'H2O que l'on a d'ions H+ à gauche et à droite de la demi-équation. Ca s'explique par le fait que, pour cette réaction, 14 H2O vont réagir avec nos 14H+ pour donner 14H3O+ (car H2O+H+ --> H3O+). Et pour bien équilibrer notre équation on oublie pas d'ajouter 14H2O à droite également. 

On aura donc :  Cr2O72- + 14 H 14  H3O+-->2 Cr3+  + 7 H20  21 H20 (On rajoute 14 H2O ici)

 

Une fois que tu as cette équation, il reste plus qu'à équilibrer les charges. A gauche on a 14-2 = 12 charges + et à droite on en a 6. 

On va donc ajouter 6e- et on retrouve Cr2O72- + 6e- + 14H3O+ --> 2Cr3+ + 21 H20

 

C'est bon pour toi pour le deuxième couple ou tu veux que je le détaille ?

J'espère que c'est plus clair. N'hésite pas sinon !

Bonne journée !

 

Salut, je pense avoir compris !

 

 

Donc  pour H2 C2 O4                       = CO2

 

H2 C2 O4      (+6)           = 2CO2            (+8)

 

donc l'oxydant est le CO2  non ?

 

Soit  2CO2  + 2e-   =  H2 C2 O4  

 

2CO2   + 2e-  +      2H+    =   H2 C2 O4  

Mais vu qu'on peut pas laisser le H+ on le transforme en H3O+

 

soit  2CO2     + 2e-       +   2H3O+      =   H2 C2 O4  + 2H2O

 

 

Ca nous fait bien   2x3 H = 6                       2H      +         (2X2H = 4)  = 6

tout comme les O

 

2x2=4                            +   2x1=2                         O4   +        2xO=2O

 

Je me suis trompé ? si c'est pas le cas, c'était super clair !!  Merci !

 

il y a 9 minutes, Mathilde14 a dit :

Alors moi ce que je te conseille pour ne pas t'embrouiller c'est d'equilibrer ta reaction en milieu acide classique. Comme tu l'as bien dit on equilibre les O en rajoutant des H20 puis on equilibre les H en rajoutant des H+. 

Capture d’écran 2020-11-08 145151.png

 

Le problème pour moi c'était de partir du début, soit équilibrer les réaction entre les couples de base

Merci !

  • Ancien Responsable Matière
Posted
il y a 9 minutes, Anatomie a dit :

Donc  pour H2 C2 O4                       = CO2

 

H2 C2 O4      (+6)           = 2CO2            (+8)

 

donc l'oxydant est le CO2  non ?

 

Soit  2CO2  + 2e-   =  H2 C2 O4  

 

2CO2   + 2e-  +      2H+    =   H2 C2 O4  

Mais vu qu'on peut pas laisser le H+ on le transforme en H3O+

 

soit  2CO2     + 2e-       +   2H3O+      =   H2 C2 O4  + 2H2O

 

 

Ca nous fait bien   2x3 H = 6                       2H      +         (2X2H = 4)  = 6

tout comme les O

 

2x2=4                            +   2x1=2                         O4   +        2xO=2O

 

Je me suis trompé ? si c'est pas le cas, c'était super clair !!  Merci !

Non c'est bon c'est exactement ça !

Avec plaisir !💚

Join the conversation

You can post now and register later. If you have an account, sign in now to post with your account.
Note: Your post will require moderator approval before it will be visible.

Guest
Reply to this topic...

×   Pasted as rich text.   Paste as plain text instead

  Only 75 emoji are allowed.

×   Your link has been automatically embedded.   Display as a link instead

×   Your previous content has been restored.   Clear editor

×   You cannot paste images directly. Upload or insert images from URL.

  • Recently Browsing   0 members

    • No registered users viewing this page.
×
×
  • Create New...