Jump to content

erreur mécanique des fluides?


Go to solution Solved by FromageDeChèvre,

Recommended Posts

Posted

Bonjour, 

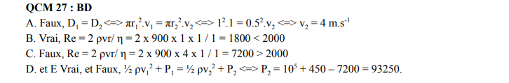
je ne comprends pas pourquoi à l'item C on trouve 7200 parce que moi je trouve 3600 466173557_Capturebiophysique.PNG.c72350634275fdd3467fe9d4b9bc9414.PNG566513638_Capturebiophysiquecorrection.PNG.9d1aab4871919be3ac581b4522ad1769.PNG

 

La rayon utilisé c'est 1 alors que cette valeur c'est pour d1 donc pour d2 le rayon c'est 0,5 et pas 1? 

Join the conversation

You can post now and register later. If you have an account, sign in now to post with your account.
Note: Your post will require moderator approval before it will be visible.

Guest
Reply to this topic...

×   Pasted as rich text.   Paste as plain text instead

  Only 75 emoji are allowed.

×   Your link has been automatically embedded.   Display as a link instead

×   Your previous content has been restored.   Clear editor

×   You cannot paste images directly. Upload or insert images from URL.

  • Recently Browsing   0 members

    • No registered users viewing this page.
×
×
  • Create New...
Radio