Jump to content

Errata poly de Noel 2019 Maraîchers


Go to solution Solved by Nezuko,

Recommended Posts

Posted

Salut, 

Poly de Noël de Maraîchers 2019-2020, QCM en vrac de Chimie 20) B)

image.thumb.png.1b4c7167b2252c5bf347629f4774d93f.png

Est compté vrai, alors qu'il s'agit d'une réaction instantanée qui ne passe par aucun intermédiaire

  • Solution
Posted

Salut !

 

Je suis d'accord qu'un mécanisme concerté par définition revient à une "réaction instantanée" comme tu le dis, on passe directement des réactifs aux produits

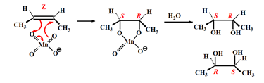
Maintenant, l'item n'est pas totalement faux non plus, dans ton cours tu as ça :

image.png.2d61ec2b9c892295892785d08610daf8.png

On voit bien que le MnO4 doit "s'accrocher" à l'alcène, formant un cycle

Le mot intermédiaire porte un peu à confusion dans ce cas mais on a bien un cycle entre le réactif et le produit 🙂

 

En espérant que ça t'éclairera un peu

Join the conversation

You can post now and register later. If you have an account, sign in now to post with your account.
Note: Your post will require moderator approval before it will be visible.

Guest
Reply to this topic...

×   Pasted as rich text.   Paste as plain text instead

  Only 75 emoji are allowed.

×   Your link has been automatically embedded.   Display as a link instead

×   Your previous content has been restored.   Clear editor

×   You cannot paste images directly. Upload or insert images from URL.

  • Recently Browsing   0 members

    • No registered users viewing this page.
×
×
  • Create New...