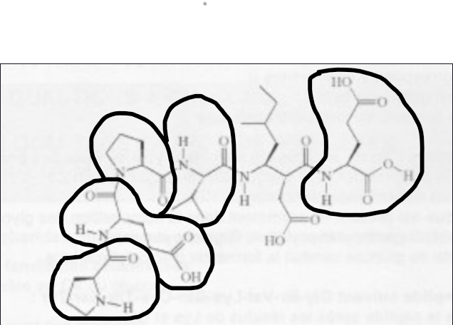
OxyGenS Posted October 21, 2020 Posted October 21, 2020 (edited) Bonjour ! 1) 7D : https://zupimages.net/viewer.php?id=20/43/tr3c.png https://zupimages.net/viewer.php?id=20/43/q16k.png Je ne comprends pas bien la correction (je trouve l'item faux aussi), à part Lys je ne vois pas d'autres AA basiques... où est la majorité d'AA basiques ? Je trouve seulement 1 charge (globale) + à pH physio. Je fais une erreur ? 2) 9A : https://zupimages.net/viewer.php?id=20/43/jm7n.png https://zupimages.net/viewer.php?id=20/43/x5mo.png L'item nous demande si les prot° ont l'une OU l'autre structure. Comme le dit la correction les prot° fibrillaires ont plutôt une structure quaternaire et les prot° globulaires ont plutôt une structure tertiaire. Ils disent que ce sont des contre-exemples mais au contraire pour moi ça démontre bien que les protéines ont soit l'une soit l'autre structure. Je ne vois pas pq l'item est faux. 3) https://zupimages.net/viewer.php?id=20/43/qnw3.png Quels sont les AA présents dans ce peptide svp ? Edited October 21, 2020 by OxyGenS Quote
delya Posted October 21, 2020 Posted October 21, 2020 Salut à toi, Alors tout d'abord concernant l'item D de la question 7 en effet seul l'AA LYS est très basique, les autres étant non chargé ou hydrophobe ça nous permet de répondre rapidement à cet item. je pense qu'ils se sont trompés en employant le mot majorité mais la LYS suffit pour répondre à cet item. Ensuite, concernant la question 9, en effet leur justification n'est pas clair car elles en possèdent au moins une mais dans tous les cas certaines protéines n'ont ni une structure 3° ni 4° donc dans tous les cas l'item reste faux. Après le plus important c'est que tu garde le tableau récapitulatif des différentes structures pour les deux types de protéines (fibrillaires et globulaires) en tête. sache que la structure 2° se met en place spontanément mais que pour les autres structures c'est très variable et pas forcement nécessaire pour toutes les protéines. Dans ce peptide tu as la proline, le glutamate, l'aspartate, de la valine et de l'isoleucine si je dis pas de bêtise. Quote
OxyGenS Posted October 21, 2020 Author Posted October 21, 2020 Il y a 1 heure, delya a dit : dans tous les cas certaines protéines n'ont ni une structure 3° ni 4° Parmi celles-ci on peut citer collagène et kératine ? Il y a 1 heure, delya a dit : Dans ce peptide tu as la proline, le glutamate, l'aspartate, de la valine et de l'isoleucine si je dis pas de bêtise. La correction dit qu'il y a 6 AA. J'ai du mal à tous les visualiser, est-ce que ça te dérangerait de les délimiter stp ? Quote
Ancien Responsable Matière Nymma Posted October 21, 2020 Ancien Responsable Matière Posted October 21, 2020 il y a 4 minutes, OxyGenS a dit : Parmi celles-ci on peut citer collagène et kératine ? Attention !! le collagène a bien une structure quaternaire : l'association en triple hélice c'est bien l'association de plusieurs chaînes par des liaisons covalentes (donc on répond bien à la définition de structure quaternaire). Pareil pour la kératine, ta super hélice gauche c'est bien l'association de 2 hélices alpha droites donc de deux chaines indépendante ! il y a 11 minutes, OxyGenS a dit : La correction dit qu'il y a 6 AA. J'ai du mal à tous les visualiser, est-ce que ça te dérangerait de les délimiter stp ? D'où ce QCM sort-il d'ailleurs ??? Parce que je pense qu'il y a une petite faute sur le schéma (mais si c'est un QCM de concours on va rien dire c'est peut être moi qui suis nulle ) Quote
OxyGenS Posted October 21, 2020 Author Posted October 21, 2020 il y a 4 minutes, Nymma a dit : Attention !! le collagène a bien une structure quaternaire : l'association en triple hélice c'est bien l'association de plusieurs chaînes par des liaisons covalentes (donc on répond bien à la définition de structure quaternaire). Pareil pour la kératine, ta super hélice gauche c'est bien l'association de 2 hélices alpha droites donc de deux chaines indépendante ! On a un exemple de prot ayant uniquement une structure 2ndr ? Quote
Ancien Responsable Matière Nymma Posted October 21, 2020 Ancien Responsable Matière Posted October 21, 2020 il y a 3 minutes, OxyGenS a dit : On a un exemple de prot ayant uniquement une structure 2ndr ? Justement, pour moi ça n'existait pas (à part anomalie de protéine) mais je t'avoue que je ne m'étais jamais posée la question ... Il me semblait au contraire qu'elles avaient toutes au moins une des deux (parce que c'est ce que Mme Sixou appelle conformation native) mais du coup là j'en sais trop rien ... À voir directement avec la prof si jamais (désolée je suis pas d'une grande aide pour le coup) Quote
OxyGenS Posted October 21, 2020 Author Posted October 21, 2020 Il y a 1 heure, Nymma a dit : D'où ce QCM sort-il d'ailleurs ??? Parce que je pense qu'il y a une petite faute sur le schéma (mais si c'est un QCM de concours on va rien dire c'est peut être moi qui suis nulle ) Je n'avais pas vu que tu avais edit^^ Tjs du même CCB, je n'arrive pas à bien voir les 6 AA justement. Quote
delya Posted October 21, 2020 Posted October 21, 2020 Selon moi les 6 sont là, mais après je crois qu'il y a aussi une autre proline en haut avec le cycle donc ça en ferait 7 du coup je comprends pas trop. Si tu peux, demande à la prof ou en TD les AA qu'il y a selon eux pour avoir confirmation. Quote
Ancien Responsable Matière Pastel Posted October 22, 2020 Ancien Responsable Matière Posted October 22, 2020 Coucou @delya j'ai un petit problème avec le 3e AA en partant de la droite que tu as entouré, il aurait un carbone de trop pour être l'isoleucine non ? et puis il lui manque aussi les fonctions COOH et NH... Voilà ce que j'obtiens en découpant, et il reste 2 radicaux pour seulement 1 COOH et 1 NH2, je ne comprends pas qui est qui Quote
Ancien Responsable Matière Nymma Posted October 22, 2020 Ancien Responsable Matière Posted October 22, 2020 Salut salut @Pastel !! Je répond à la place de delya ! Bah du coup on se disait aussi que c’était vachement bizarre le fait qu’on n’ait pas une vraie liaison peptidique entre les deux aas que tu n’as pas entouré. Et en effet il y a un C en trop pour que ce soit de l’isoleucine. Est-ce que c’est possible de nous mettre le QCM en entier pour voir ce qu’on vous demande dessus ? Quote
Ancien Responsable Matière Pastel Posted October 22, 2020 Ancien Responsable Matière Posted October 22, 2020 (edited) @Nymma voilà ! https://zupimages.net/viewer.php?id=20/43/55t1.png Révélation Réponses vraies : ABCD Du coup c'est la galère pour répondre aux items C et E un peu... Edited October 22, 2020 by Pastel Quote
Ancien Responsable Matière Solution Nymma Posted October 22, 2020 Ancien Responsable Matière Solution Posted October 22, 2020 il y a 27 minutes, Pastel a dit : Du coup c'est la galère pour répondre aux items C et E un peu... En soit c'est pas si dérangeant que ça : - pour l'item C, c'est fait exprès pour voir si vous savez reconnaitre une liaison peptique : on compte bien 5 liaisons peptidiques et l'item est vrai donc pas d'ambiguïté - pour l'item E, oui c'est plus compliqué parce qu'on ne sait pas si on peut vraiment les considérer comme des acides aminés les deux qui sont bizarres là. Mais cet item est bien parce qu'il vous montre que la prof ne considère pas que c'en est et c'est bien logique (après coup, avec la correction sous les yeux, je te l'accorde), il nous manque au moins une amine et un carboxyle pour avoir la séparation entre ces deux acides aminés donc on ne les considèrent pas comme des acides aminés. Après va savoir ce que c'est vraiment ... Bref, la correction est en accord avec ce qu'on voit mais je vous avoue que c'est pas un QCM très gentil ... Pastel and OxyGenS 2 Quote
Recommended Posts
Join the conversation
You can post now and register later. If you have an account, sign in now to post with your account.
Note: Your post will require moderator approval before it will be visible.