Jump to content

Oxydoréduction .... je ne comprends ​pas 😭 ​


Go to solution Solved by SBY,

Recommended Posts

Posted (edited)

Bonsoir !! 

 

Non mais sans rire j'en ai vraiment marre de l'oxydo !! 

Ça semble si simple et mon cerveau fait un blocage ! 

 

Bref ..... Je ne comprends absolument pas comment équilibrer une réaction ..... Je ne sais pas d'ou sortent les H3O+ ....

 

Quelqu'un pourrait-il m'aider 😫🥺 

 

Merci par avance !!!!!!!!! 

PHOTO-2020-10-18-09-30-50.jpg

PHOTO-2020-10-18-09-30-46.jpg

Edited by Métacarposaure
  • Ancien Responsable Matière
  • Solution
Posted (edited)

Bonsoir @Métacarposaure !

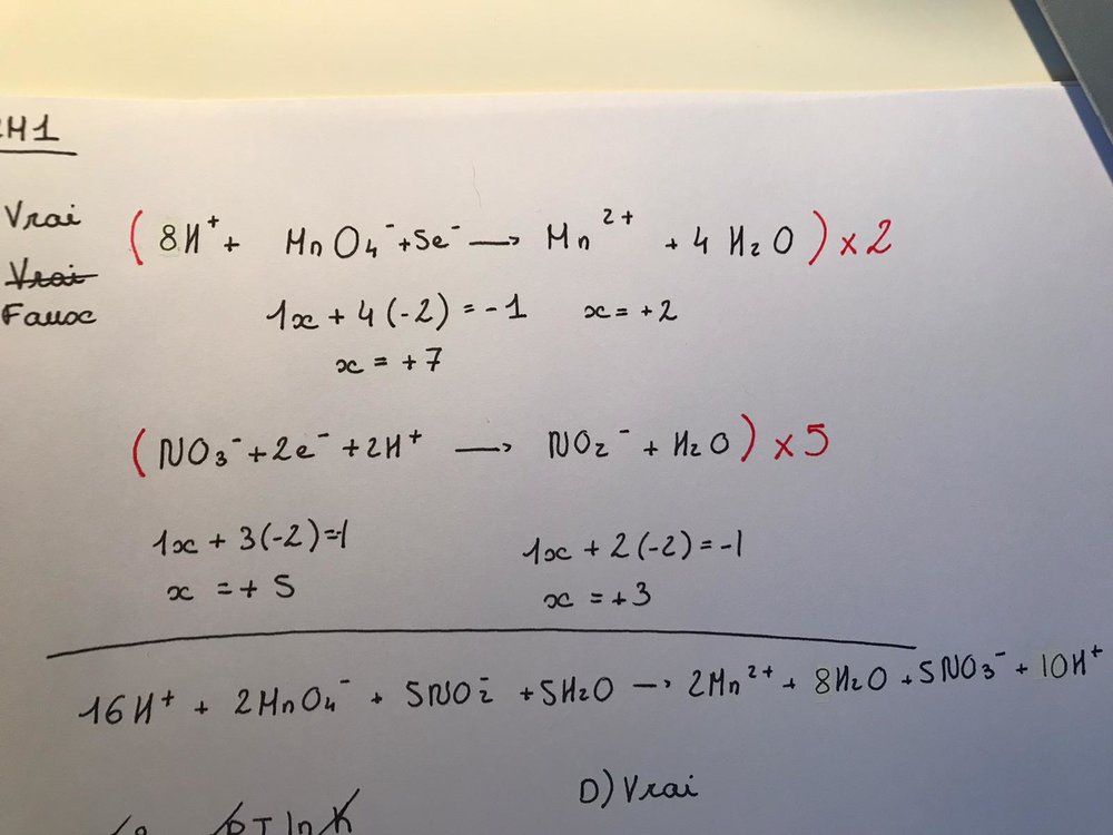
Ce que t'as fait est bon mais il faut juste aller un petit peu plus loin. 

Dans la réaction que tu as trouvée, tu peux déjà simplifier les H+ et les H20 ce qui fait que tu te retrouves avec 6H+ à gauche et 3H2O à droite. 

Ensuite, on sait que H2O + H+ --> H3O+

Donc on va rajouter de part et d'autre de l'équation autant de molécules d'H2O que l'on a d'ions H+

Concrètement, ici on va rajouter 6H2O. Donc on se retrouve à gauche avec 6H3O+ et à droite avec (3 + 6) 9 H2O. 

Et finalement, on retrouve bien la réaction donnée dans la correction. 

J'espère que c'est plus clair pour toi. 

Bonne soirée !

Edited by SBY
Posted

@SBY Ohhh merci beaucoup !!!! 

 

Juste une question --> Pourquoi quand d'un coté on ajoute des H2O aux H+ on trouve des H3H+. Et quand on ajoute des H+ au H2O on trouve juste plus de H2O ? 

 

D'un coté on a 6H3O+ et de l'autre 9H2O 

  • Ancien Responsable Matière
Posted (edited)

Je suis pas sûre de bien comprendre ta question. 

A droite, il nous reste que des H2O, et on ajoute des H2O donc on peut pas obtenir d'H3O+ à droite. 

Pour obtenir des H3O+, on ajoute seulement des molécules d'H2O, pas d'ions H+ puisque justement ce sont ces ions H+ que l'on veut transformer. 

Edited by SBY

Join the conversation

You can post now and register later. If you have an account, sign in now to post with your account.
Note: Your post will require moderator approval before it will be visible.

Guest
Reply to this topic...

×   Pasted as rich text.   Paste as plain text instead

  Only 75 emoji are allowed.

×   Your link has been automatically embedded.   Display as a link instead

×   Your previous content has been restored.   Clear editor

×   You cannot paste images directly. Upload or insert images from URL.

  • Recently Browsing   0 members

    • No registered users viewing this page.
×
×
  • Create New...
Radio