Lilou Posted October 19, 2020 Posted October 19, 2020 Bonjour, j'ai quelques questions : QCM9 Elle possède 4 doubles liaisons conjuguées. je n'en vois que 3 .. Je ne comprend pas pq il est R .. Pour moi si on tourne du 1 vers le 2 ça fait S et le H n'est pas en avant du coup quelqu'un pourrait m'expliquer ? Quote
clarissee Posted October 19, 2020 Posted October 19, 2020 Hello! Pour les doubles liaisons conjuguées, il faut compter les 3 du phénol et celle entre les deux carbones, ensuite pour ce carbone asymétrique, si le H est en avant, c'est la liaison en pointillé qui est en arrière, du coup il est bien R J'espère t'avoir aidé! Quote
Croziflette_Claquette Posted October 19, 2020 Posted October 19, 2020 Salut! Pour celle de la première question si t'as toujours pas compris avec @clarissee, tu peux me joindre une photo pour que je t'aide ? Sinon pour la configuration ici le H est dans le plan : ni en avant, ni en arrière. Donc c'est compliqué de tourner sans se tromper. Du coup la technique c'est de regarder la molécule de sorte à mettre le quatrième substituant en arrière. Comme sur mon schèma : C'est pas facile à visualiser... Si jamais c'est pas clair dis le moi j'essaierai autrement ! Aliénor 1 Quote
anemixxx Posted October 19, 2020 Posted October 19, 2020 3 hours ago, clarissee said: Hello! Pour les doubles liaisons conjuguées, il faut compter les 3 du phénol et celle entre les deux carbones, ensuite pour ce carbone asymétrique, si le H est en avant, c'est la liaison en pointillé qui est en arrière, du coup il est bien R J'espère t'avoir aidé! pour les doubles liaiosn conjuquées moi j'en trouve 5 (les 3 du phényl + les 2 autres).. alors j'ai mis faux pourquoi 4 est compté vrai ? Quote
Croziflette_Claquette Posted October 19, 2020 Posted October 19, 2020 (edited) Pour les doubles liaisons: il y a 8 minutes, anemixxx a dit : pour les doubles liaiosn conjuquées moi j'en trouve 5 (les 3 du phényl + les 2 autres).. alors j'ai mis faux pourquoi 4 est compté vrai ? Il y a 3 heures, Lilou a dit : QCM9 Elle possède 4 doubles liaisons conjuguées. je n'en vois que 3 .. En fait des doubles liaisons sont conjuguées si elles sont séparées par une simple liaison. Je vous ai mis les doubles liaisons en rouge et la simple liaison qui les sépare en bleu. En gros faut jouer à saute-mouton, une double liaison sur 2. Il y en a bien 4 ! @anemixxx, la dernière est séparée par deux simples liaisons, elle n'est pas conjuguée avec les autres. Edited October 19, 2020 by Croziflette_Claquette Okazaki and Aliénor 2 Quote
anemixxx Posted October 19, 2020 Posted October 19, 2020 4 minutes ago, Croziflette_Claquette said: Pour les doubles liaisons: En fait des doubles liaisons sont conjuguées si elles sont séparées par une simple liaison. Je vous ai mis les doubles liaisons en rouge et la simple liaison qui les sépare en bleu. En gros faut jouer à saute-mouton, une double liaison sur 2. Il y en a bien 4 ! @anemixxx, la dernière est séparée par deux simples liaisons, elle n'est pas conjuguée avec les autres. alors conjuqué = double liaison avec uniquement 1 liaison qui les sépare à chaque fois ? Aliénor 1 Quote
Croziflette_Claquette Posted October 19, 2020 Posted October 19, 2020 il y a 1 minute, anemixxx a dit : alors conjuqué = double liaison avec uniquement 1 liaison qui les sépare à chaque fois ? C'est exactement ça!! anemixxx 1 Quote
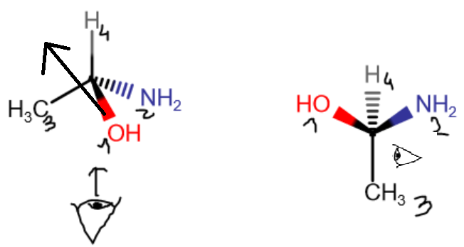
Lilou Posted October 19, 2020 Author Posted October 19, 2020 Il y a 6 heures, Croziflette_Claquette a dit : C'est pas facile à visualiser... Si jamais c'est pas clair dis le moi j'essaierai autrement ! Dsl je comprend pas pq le OH part à gauche ? Quote
Solution etelteleur Posted October 19, 2020 Solution Posted October 19, 2020 (edited) Heyy, alors en faite, le OH à gauche c'est juste pour essayer de se représenter la molécule du point de vu de l'œil d'en bas. En gros , quand l'atome avec le numéro atomique le plus faible est dans le plan, faut essayer de visualiser la molécule de telle sorte à ce que , ici le H, soit derrière. Si tu préfères c'est juste le point de vu de l'œil d'en bas . (Je demande un petit effort d'imagination pour concevoir que le deuxième œil regarde de face x)) j'espère que c'est plus clair comme ça ^^ Edited October 19, 2020 by etelteleur Aliénor 1 Quote
Lilou Posted October 20, 2020 Author Posted October 20, 2020 Ah ok c'est bon je vois enfin ahah merci bcp pour votre aide à tous Quote
Recommended Posts
Join the conversation
You can post now and register later. If you have an account, sign in now to post with your account.
Note: Your post will require moderator approval before it will be visible.