Jump to content

qcm chimie


Go to solution Solved by Amélithium,

Recommended Posts

  • Ancien du Bureau
Posted

Coucou me re-voici me re-voilà ! J'aimerai comprendre comment on fait pour déplier la molécule svp...

Merci beaucouuup ! Perso je trouve que la 4 est vraie mais c'est faux ! 

 

image.png.153ad63cb102cf8ffff759c737967d95.png

 

 

Et aussi est-ce que quelqu'un peut m'expliquer comment procéder pour répondre à ce genre de QCM (genre la méthode à suivre qui marche tout le temps en fonction des différents cas de figure ? (merciiiiiii! 🙂 )

 

image.png.45eebe45e870ef9e2081648537bdf1d4.png

 

Posted

Il me semble qu'il faut que tu regardes dans l'axe de la liaison C-C mais ici par en bas, c'est à dire avec les substituants qui pointent vers toi. Et dans le sens ou le COOH est en haut. Ainsi tu as les groupements OH et H à ta droite et les autres à ta gauche. La bonne réponse est la B si je ne me trompe pas?

Posted

Bonjour @rara31,

 

Pour ton premier QCM, lorsque tu cherches à faire la représentation de Fisher en mettant en haut ton COOH (comme c'est le cas au numéro 4) alors que ce dernier est derrière il faut le mettre en bas.

 

Je m'explique: pour savoir que la 1 était vraie tu devais regarder ta molécule et mettre les carbones les plus oxydés en haut et en conformation éclipsée, ce qui était déjà fait, de plus comme on met le CH3 en haut en représentation de Fisher et que c'est le groupements le plus oxydés qui est DEVANT c'est bon, donc la 1 est bien vraie.

MAIIIIS lorsque le l'on veut mettre en haut le COOH en représentation de Fisher mais qu'il est DERRIERE dans ta molécule de référence alors il faut tout basculer en bas, ton COOH et ton CH3 se retrouve la tête en bas et donc tous les autres groupements sont inversés et donc ta 4 est fausse !

 

Récap: Si le Carbone le plus oxydé que l'on veut mettre en haut en représentation de Fisher est devant alors on place les deux carbones les plus oxydés en haut en conformation éclipsée.

Si le Carbone le plus oxydé que l'on veut mettre en haut en représentation de Fisher est derrière alors on place les deux carbones les plus oxydés en bas en conformation éclipsée.

 

J'espère que c'est clair même sans dessin, sinon hésite pas à venir en perm (11h50-13h dans vos amphis) pour qu'un tuteur te l'explique avec un dessin ce sera mieux !😉

Pour ta deuxième question, je laisse un autre tuteur te répondre parce que moi je n'avais pas vraiment de méthode...

Bon courage !!

  • Ancien du Bureau
  • Solution
Posted

Salut @rara31

 

@ClarisseV t'a super bien expliqué la méthode ! Est-ce que tu as compris ? 

 

Ensuite je réponds à ta deuxième question

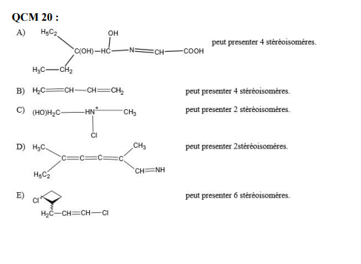
Rappel de cours : n centres chiraux donne 2^n configurations possibles au maximum.

Si tu as 1 carbone asymétrique dans ta molécule tu auras 2 stéréoisomères possibles (R et S). 

Si tu as 2 C*, tu auras 4 stéréoisomères possibles (2²) (RR, SS, RS et SR) SAUF dans le cas où tu as un plan de symétrie , dans ce cas il n'y aura que 3 stéréoisomères (RR, SS et la forme méso).

Si tu as une double liaison, tu auras 2 stéréoisomères (E et Z) possibles, sauf si tu as un plan de symétrie, dans ce cas la molécule sera achirale.

 

Avec tous ces cas du figure (j'espère que j'en ai pas oublié ! 😅), tu devrais arriver à répondre aux questions. Pense seulement que tu peux en trouver plusieurs au sein de la même molécule donc il faut multiplier en mode puissance (2^n avec n le nombre de C* ou doubles liaisons) le nombre de stéréoisomères.

 

Si je résous le QCM pour que tu puisses vérifier si tu as compris, on a

 

A : VRAI : 1 C* (attention CH3-CH2- = C2H5 !!!) et une double liaison imine N=C donc on aura 4 stéréoisomères possibles.

B : FAUX : Les doubles liaisons ne présentent pas de stéréoisomérie Z/E car on a CH2=C à chaque fois. Donc une seule configuration possible.

C : VRAI : La molécule est chirale grâce à la présence de l'ammonium quaternaire donc 2 stéréoisomères.

D : VRAI 3 doubles liaisons consécutives donc pas de Z/E et 1 double liaison imine donc 2 stéréoisomères.

E : FAUX : 2 C* et une double liaison donc 2^3 = 8 stéréoisoméries.

 

Est-ce que tu pourrais me confirmer que je me suis pas trompée dans la correction stp ?

 

Si je suis allée trop vite ou que tu as d'autres questions n'hésite pas ! 

 

  • 1 year later...
  • Ancien du Bureau
Posted

@Amélithium Je trouve ça incroyable que tutoweb m'envoie des notifications sur des sujets aussi anciens mdr, c'est ouf à quel point je captais rien l'année dernière ptdrrrrrr

  • Ancien du Bureau
Posted
Il y a 1 heure, Vaiana a dit :

@Amélithium Je trouve ça incroyable que tutoweb m'envoie des notifications sur des sujets aussi anciens mdr, c'est ouf à quel point je captais rien l'année dernière ptdrrrrrr

😂😂😂 Certains posts n'étaient pas résolus du coup @Sashalarescousse s'est amusé hier soir 😂 (merci à toi t'es le meilleur 🥰)

C'est pas que tu captais rien, c'est simplement que tu n'hésitais pas à poser tes questions quand tu avais un doute ! Tu demandais comment aller plus vite, des astuces etc, donc c'est super je trouve (moi en PACES je posais jamais de questions sur le Forum, je regardais les réponses pour voir si ça m'aidait, mais j'ai jamais eu le courage de poser mes questions 😅), sache que tu as dû aider bcp d'étudiants qui se posaient les mêmes questions que toi mais qui n'osaient pas vraiment se lancer (alors que je suis d'accord, c'est vraiment rien de poser ses questions, y'a aucune question bête et tjrs des tuteurs et RM surmotivés pour te répondre 😍)

 

Révélation

Si je dis pas de bêtises tes partiels sont cette semaine (ou la suivante ?) 🥺, crois en toi, tu vas tout déchirer, t'es la meilleure 😍🥰 Je te souhaite bon courage mais t'as bossé dur donc y'a pas de raison pour que ça ne se passe bien ! 👍

 

Bon courage aux autres LAS2 qui sont dans le mêmes cas (même si y'a peu de chances qu'ils passent par là, sachez que je pense quand même à vous), force à vous les loulous ❤️

 

Et enfin, Bonne année à tous, je vous souhaite le meilleur 🥰❤️❤️❤️

  • Ancien du Bureau
Posted

@Amélithium Toi je t'aime depuis la PASS et ça bougera jamais ❤️ Incroyable ton message et ton soutien, go dead ça demain en microbiologie tu m'as redonné du baume au cœur 🥰  

 

 

  • Ancien du Bureau
Posted
il y a 10 minutes, Vaiana a dit :

@Amélithium Toi je t'aime depuis la PASS et ça bougera jamais ❤️ Incroyable ton message et ton soutien, go dead ça demain en microbiologie tu m'as redonné du baume au cœur 🥰  

 

 

Mooooh c'est trop mignon 🥺🥰 Mais oui tu vas tout défoncer ! 🤩 Je penserai à vouuus 😘

Allez, force et honneur 💪❤️

Croyez en vous, vous êtes les meilleurs les loulous ❤️❤️❤️

Join the conversation

You can post now and register later. If you have an account, sign in now to post with your account.
Note: Your post will require moderator approval before it will be visible.

Guest
Reply to this topic...

×   Pasted as rich text.   Paste as plain text instead

  Only 75 emoji are allowed.

×   Your link has been automatically embedded.   Display as a link instead

×   Your previous content has been restored.   Clear editor

×   You cannot paste images directly. Upload or insert images from URL.

  • Recently Browsing   0 members

    • No registered users viewing this page.
×
×
  • Create New...