Jump to content

QCM CCB


Go to solution Solved by Yoshi,

Recommended Posts

Posted

Bonjour, plusieurs qcms me pose pb :

 

 

 

 

 

 

 

t24i.pngQCM D pour moi elle est impaire ... quelqu'un pourrait me détailler les calculs merci 

 

6613.pngJe n'arrive pas à rep à ce genre de qcm qu'elle est la technique avec le cercle ?

 

 

Voila merci de vos réponses 

  • Ancien Responsable Matière
Posted

Salut !!!

 

54 minutes ago, Lilou said:

QCM D pour moi elle est impaire ... quelqu'un pourrait me détailler les calculs merci 

Vu qu’on va en +infini, on peut directement prendre les monômes de plus haut degré, c’est-à-dire : 7x^5/3x=7x^4/3

 

donc on a une fonction de la forme x^4 qui est paire en +inf

 

54 minutes ago, Lilou said:

Je n'arrive pas à rep à ce genre de qcm qu'elle est la technique avec le cercle ?

Alors pour moi je ne réponds pas avec le cercle mais avec les propriétés des fonctions sin et cos que l’on peut retrouver la solution (mais les deux méthodes sont valables 

 

mais je veux faire appel à @Yoshi qui peut-être utilise cette méthode ?

 

si ce n’est pas le cas je détaillerai avec ma

Methodd

Posted
il y a 19 minutes, Hypnos a dit :

Vu qu’on va en +infini, on peut directement prendre les monômes de plus haut degré, c’est-à-dire : 7x^5/3x=7x^4/3

 

donc on a une fonction de la forme x^4 qui est paire en +inf

D'ac j'ai compris merci 

 

il y a 19 minutes, Hypnos a dit :

si ce n’est pas le cas je détaillerai avec ma

Methodd

et du coup oui je serais intéressée par ta méthode si ca ne te dérange pas

  • Membre d'Honneur
  • Solution
Posted

Salut à tous ! 

Alors je n'utilise pas la technique avec le cercle non plus mais j'ai essayé de voir comment on pouvait répondre à l'item D avec.

Donc (j'ai pris le cercle sur internet, du coup ne fais pas attention au cosinus écris sur la figure il ne nous intéresse pas) :

1169069992_cercletrigonomtrique.gif.d2437719ee2457c6430214cc61f94cab.gif

 

Dans l'égalité il n'était question que de sinus, or si tu prend x=0 tu tombes avec sin (\frac{5\pi }{6}) = sin(\frac{\pi }{6}) ce qui est effectivement le cas si tu regardes ton cercle. \frac{5\pi }{6} est le symétrique par l'axe des ordonnées de \frac{\pi }{6} ce qui veut dire qu'ils ont le même sinus. Maintenant, on réfléchit un peu et on regarde ce qui se passe si tu utilises d'autre valeurs de x. Si tu soustrait x à \frac{5\pi }{6} tu vas tourner dans le sens horaire d'une montre, à l'inverse si tu ajoute x à \frac{\pi }{6} tu vas aller dans le sens antihoraire d'une montre. Or, on sait que les sinus de \frac{5\pi }{6} et de \frac{\pi }{6} sont égaux du coup comme tu enlèves et ajoutes la même valeur de x ça restera une égalité. Tu peux le voir sur le cercle si tu veux, ça fait appelle à la logique un peu mais comme ces 2 points sont symétriques par l'axe des ordonnées ils ont le même sinus et comme si tu enlèves ou si tu rajoutes une valeur x ils "tourneront" dans des sens opposés du coup la propriété est conservée.

 

Je sais pas si c'est très clair 😅

Posted
Il y a 14 heures, Lilou a dit :

et du coup oui je serais intéressée par ta méthode si ca ne te dérange pas

Alors pour ce genre de question avec une égalité, tu peux faire avec la méthode du cercle comme développée par @Yoshi ou bien la méthode de @Hypnos

Je te conseille de maîtriser les 2 mais utilise celle avec laquelle tu te trompes le moins et où tu vas plus vite.

Hésite pas si tu as des questions!

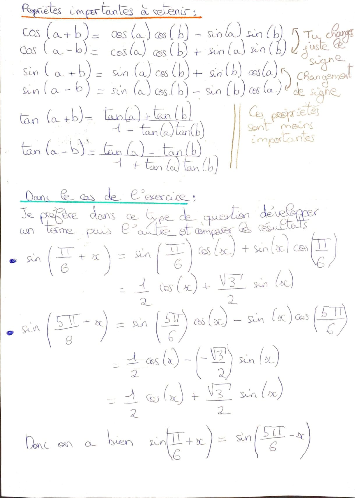
121687100_354460595767968_3904019885482754307_n.jpg

Posted

@Bryan bonjour , merci pour ta réponse !! 
est ce que tu peux me confirmer si mon calcul est juste ou non , j’ai l’impression d’avoir  compliqué les choses 

Posted

Salut @lilcha !

Ton raisonnement est correct oui, après il faut essayer d'aller au plus vite pour les épreuves, utilise la technique qui te fait gagner du temps !

Bonne après-midi !

Join the conversation

You can post now and register later. If you have an account, sign in now to post with your account.
Note: Your post will require moderator approval before it will be visible.

Guest
Reply to this topic...

×   Pasted as rich text.   Paste as plain text instead

  Only 75 emoji are allowed.

×   Your link has been automatically embedded.   Display as a link instead

×   Your previous content has been restored.   Clear editor

×   You cannot paste images directly. Upload or insert images from URL.

  • Recently Browsing   0 members

    • No registered users viewing this page.
×
×
  • Create New...
Radio