Jump to content

Recommended Posts

Posted (edited)

Bonjour, je ne comprends pas l'Item B de ce qcm

 

 

 

item B : VRAI

Dans le cours : lorsque l'atome N est dans le cycle, il est dit que les électrons du doublet non liant de N sont localisés sur l'atome N, cela veut dire que les électrons de ce doublet ne se délocalisent pas avec les électrons du cycle, donc, ils ne sont pas conjugués avec ceux du cycle, non?   

 

même chose pour celui-là : 5B

 

 

 

 

 

 

 

 

Edited by vic
Posted

Bonjour!

 

Ces items sont vrais, les effets mésomères ne concernent pas que les doubles liaisons conjuguées mais aussi les doublets non liants conjugués à une double liaison. Il y a une diapo du cours de Chimie sur la réactivité des biomolécules qui en parle (dans celui de l'an dernier tout au moins, je ne sait pas si vous conservez les mêmes polys).

 

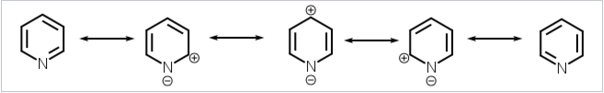
Donc dans le  qcm 5B on a:  972475548_Qcm5B.PNG.b14cacb80c8ae01308e73e6dfcdb4a56.PNG

                                                (source:https://commons.wikimedia.org/wiki/File:Pyridine-10.png?uselang=fr)

et dans le qcm 10B on a: 1880221877_Qcm10B.PNG.382f0ba9aa0f891f8b800c04da96e13a.PNG

                                                  (source:http://www.chim.lu/ch1781.php)

       

 

Posted (edited)

Ah d'accord, je pensais que cette diapo  

 

 

 

voulait dire que le doublet non liant de N n'était pas dans le même plan que ceux du cycle, et donc, ne participait pas aux effets mésomères, 

contrairement à cette molécule :

 

 

Edited by vic
Posted (edited)

Je me suis trompé pour le qcm 5B, dans cette situation le doublet ne participe effectivement pas à la mésomérie de ta molécule car comme tu l'as dit il n'appartient pas au plan. ON a:

unnamed.jpg.41d03708473a1d1c19ea42364c3f8eba.jpg

(http://pharmtox.free.fr/pharmacie/chimie/poly/Heterocycles.htm#3.2-)

 

En revanche mon explication reste valide pour le qcm 10B.

 Je te prie d'excuser mon inattention. 

Edited by Saucisse_de_Combat

Join the conversation

You can post now and register later. If you have an account, sign in now to post with your account.
Note: Your post will require moderator approval before it will be visible.

Guest
Reply to this topic...

×   Pasted as rich text.   Paste as plain text instead

  Only 75 emoji are allowed.

×   Your link has been automatically embedded.   Display as a link instead

×   Your previous content has been restored.   Clear editor

×   You cannot paste images directly. Upload or insert images from URL.

  • Recently Browsing   0 members

    • No registered users viewing this page.
×
×
  • Create New...