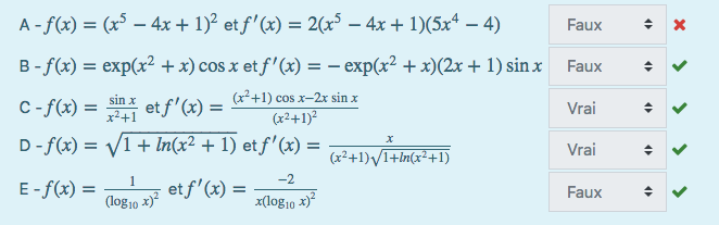
grossemoula Posted September 8, 2020 Posted September 8, 2020 Bonjour je suis en train de faire le TD1 en maths et je comprend plus comment faire pour la A ainsi que la D (la b aussi j'ai du mal mais bon...) , quelqu'un pourrai t'il m'expliquer ? Merci d'avance Quote
Mojito_des_îles Posted September 8, 2020 Posted September 8, 2020 salut a toi @grossemoula tu es ici pour l'item A dans l'opération suivant : f(x)=un et la dérivée de cette fonction est la suivant : f(x)=n*u'*un-1 Du coup avec ce raisonnement tu vois bien que la A est donc vrai Il vaut que tu ailles voir dans le poly de la fac des différentes opération des dérivée pour v=pouvoir répondre c'est juste ca du coup pour la B c'est de la forme u*v ta formule et la D c'est de a fome racine carré de u j'espère que j'ai été clair grossemoula 1 Quote
grossemoula Posted September 8, 2020 Author Posted September 8, 2020 merci beaucoup, est celle ci je buge complètement ! Quote
Ancien Responsable Matière Solution SBY Posted September 8, 2020 Ancien Responsable Matière Solution Posted September 8, 2020 (edited) Salut @grossemoula ! Pour l'item A, quand tu dérives sin²x, il faut le voir comme sin(x) x sin(x) et non comme x^n. Donc on trouve bien : f'(x)= -sin(x) + cosx sinx + cosx sinx = sinx (2cosx-1) Pour l'item D tu résous ton inéquation et tu t'aides de la réponse que t'as trouvé au C : f'(x)≥ 0 <=>sinx (2cosx-1)≥ 0 <=>2cosx-1≥ 0 (pas de changement du sens de l'inéquation car sinx≥ 0 sur [0;π]) <=>cosx≥ 1/2 <=>cosx≥ cos(π/3) A parti de là, personnellement je m'aide du cercle trigonométrique, et on trouve bien que pour que cosx≥ cos(π/3), x doit être compris entre 0 et π/3. (Tu fais pareil pour f'(x)≤ 0 ) Enfin, pour l'item E, c'est vrai car pour x=π/3, on a changement de signe de la dérivée et si tu traces ton tableau de variation tu vas trouver : - comme f'(x)≥ 0 sur [0;π/3], alors f est croissante sur [0;π/3] - Et comme f'(x)≤ 0 sur [ π/3; π] alors f est décroissante sur [ π/3; π]. Donc tu trouves bien que f admet un maximum en π/3. Voilà ! J'espère avoir été claire ! Bonne fin de journée ! Edited September 8, 2020 by SBY grossemoula 1 Quote
lisachatroux Posted September 8, 2020 Posted September 8, 2020 Bonjour, quelqu'un sait-il quand est-ce que l'on aura les horaires des TDs ? Merci d'avance ! Quote
grossemoula Posted September 10, 2020 Author Posted September 10, 2020 Le 08/09/2020 à 16:41, SBY a dit : Salut @grossemoula ! Pour l'item A, quand tu dérives sin²x, il faut le voir comme sin(x) x sin(x) et non comme x^n. Donc on trouve bien : f'(x)= -sin(x) + cosx sinx + cosx sinx = sinx (2cosx-1) Pour l'item D tu résous ton inéquation et tu t'aides de la réponse que t'as trouvé au C : f'(x)≥ 0 <=>sinx (2cosx-1)≥ 0 <=>2cosx-1≥ 0 (pas de changement du sens de l'inéquation car sinx≥ 0 sur [0;π]) <=>cosx≥ 1/2 <=>cosx≥ cos(π/3) A parti de là, personnellement je m'aide du cercle trigonométrique, et on trouve bien que pour que cosx≥ cos(π/3), x doit être compris entre 0 et π/3. (Tu fais pareil pour f'(x)≤ 0 ) Enfin, pour l'item E, c'est vrai car pour x=π/3, on a changement de signe de la dérivée et si tu traces ton tableau de variation tu vas trouver : - comme f'(x)≥ 0 sur [0;π/3], alors f est croissante sur [0;π/3] - Et comme f'(x)≤ 0 sur [ π/3; π] alors f est décroissante sur [ π/3; π]. Donc tu trouves bien que f admet un maximum en π/3. Voilà ! J'espère avoir été claire ! Bonne fin de journée ! Merci a toi c'est clair et précis ! Quote
Ancien Responsable Matière SBY Posted September 10, 2020 Ancien Responsable Matière Posted September 10, 2020 Avec plaisir ! Quote
Recommended Posts
Join the conversation
You can post now and register later. If you have an account, sign in now to post with your account.
Note: Your post will require moderator approval before it will be visible.