Jump to content

TD6(66) dit aussi TDécès


Go to solution Solved by Alexcipient,

Recommended Posts

  • Ancien Responsable Matière
Posted

Bonjour, j'ai conscience que ce que vais demander c'est pas forcément une partie de plaisir (quoique chacun ses hobbies après tout) mais j'aurais besoin d'aide our le QCM 8 du TD6 .. Etant donné qu'on peut y répondre qu'en faisant les questions d'avant je me doute que ça va pas être de la tarte mais coeur sur vous si vous pouvez m'éclairer 🤗

 

Voici le fameux énoncé (synonyme de parchemin) : les bonnes réponses sont ABD

 

Révélation

200104044423887024.png

 

 

  • Ancien Responsable Matière
  • Solution
Posted

Salut @Liliputienne!

Alors ce TD 6 aura fait tourner la tête à de nombreuses personnes 😂

 

Donc commençons par la réaction du QCM 5 : c'est une aldolisation

Tu vas donc condenser la molécule de propanal avec une autre molécule de propanal, tu obtiens ceci :

image.png.d89315f107a589e213c5310f5eb02410.png

Comme cette molécule va être chauffée, la fonction alcool va être éliminée (molécule A) :

image.png.be885b17057bc60d010f7b50860dad6c.png

C'est la molécule une fois qu'elle a été remise un peu dans l'ordre.

 

Ensuite tu vas traiter avec un excès d'éthanol : c'est une acétalisation. Comme on sera en excès d'alcool, on obtiendra un acétal (molécule B) :

image.png.77fa4775a29a13eed9a2269e16cc15d2.png

 

L'hydrogénation catalytique va entraîner la disparition de la double liaison, on obtient la molécule C :

image.png.11b8d3b132c5b1c17ac642e29023c2aa.png

 

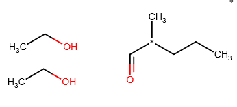
Et en fait, c'est sur elle que tu va faire l'hydrolyse acide. Cela va tout simplement consister à l'inverse de l'acétalisation. Donc on obtiendra un aldéhyde et 2 éthanols :

image.png.200d74f1606d720a8813cf14635222b2.png

On obtient donc un aldéhyde, le 2-méthylpentanal, qui peut réagir avec la phénylhydrazine (image.png.5d55ebcf0c7c0e5f810c151c9e53aa6e.png)

Voilà dis-moi s'il y a un point que tu veux que j'éclaircisse ! 😉

  • 1 month later...
  • Ancien Responsable Matière
Posted

jviens de capter que j'avais complètement oublié de te dire merci @Alexcipient (surtout que c'était sacrément utile 😍) Merciii ! avec un léger décalage 

Join the conversation

You can post now and register later. If you have an account, sign in now to post with your account.
Note: Your post will require moderator approval before it will be visible.

Guest
Reply to this topic...

×   Pasted as rich text.   Paste as plain text instead

  Only 75 emoji are allowed.

×   Your link has been automatically embedded.   Display as a link instead

×   Your previous content has been restored.   Clear editor

×   You cannot paste images directly. Upload or insert images from URL.

  • Recently Browsing   0 members

    • No registered users viewing this page.
×
×
  • Create New...