Jump to content

Rangueil 2015


Go to solution Solved by dupuyadèle,

Recommended Posts

Posted

Salut (re) !

1577729764-je-trouve-b-1-db-du-coup-ca-m

 

 

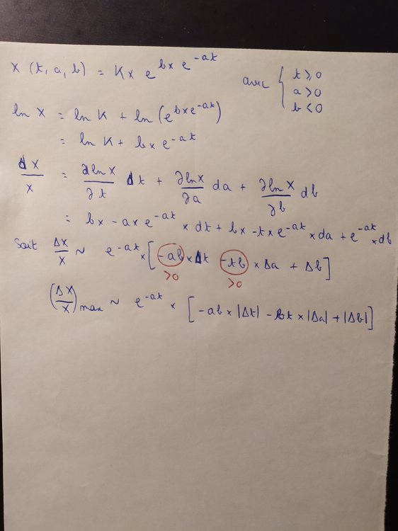
là c'est juste pour la C j'ai besoin d'une petite précision :

je trouve pour dX/db --> exp(-at) * (b+1) et c'est pas marqué dans la réponse mais est-ce qu'elle est vraie parce qu'il y a précisé "approchée par" ?

 

Merci d'avance 🙂

  • Solution
Posted

Salut ! 🙂 L'item C est entièrement juste, je pense qu'on parle de valeur approchée plus du fait que l'on passe d'un "petit delta" à un "grand delta". Je t'ai détaillé l'item, dis moi si c'est bon pour toi ! 😉

15777354534938324864949810337677.jpg

Join the conversation

You can post now and register later. If you have an account, sign in now to post with your account.
Note: Your post will require moderator approval before it will be visible.

Guest
Reply to this topic...

×   Pasted as rich text.   Paste as plain text instead

  Only 75 emoji are allowed.

×   Your link has been automatically embedded.   Display as a link instead

×   Your previous content has been restored.   Clear editor

×   You cannot paste images directly. Upload or insert images from URL.

  • Recently Browsing   0 members

    • No registered users viewing this page.
×
×
  • Create New...
Radio