Jump to content

CC R12 chimie


Go to solution Solved by enzocastets,

Recommended Posts

Posted

Salut ! 

J'ai quelques questions sur ce cc : 

- 9A : est ce qu'il faut équilibrer la réaction à partir de l'énoncé pour pouvoir ensuite trouver le delta n ? (j'avais trouver n= -2) https://zupimages.net/viewer.php?id=19/52/a9qm.png

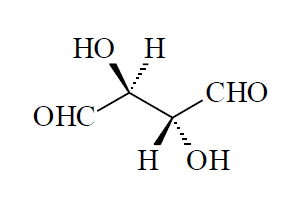
- 13D : est-ce qu'on a le droit de tourner la molécule autour de la liaison sigma pour voir si on a une forme méso ou pas ? cette molécule est une forme méso mais j'arrive pas à savoir comment on fait pour les trouver… J'ai remarqué que les substituants sont les mêmes mais ce qui m'embête c'est que dans les 3 stéréoisomères possibles on a 2 énantiomères et 1 méso et je sais pas comment on fait pour savoir si la molécule est le méso ou l'énantiomère…

 hnv4.png

- 19AB : je vois pas comment faire… https://zupimages.net/viewer.php?id=19/52/aijy.png

 

Posted

Salut @syncytio13

 

Effectivement tu es passé à travers les autres questions, vraiment désolé!

 

9A: oui c'est forcément mieux d'écrire ta réaction équilibrée avant d'entamer les items. Du coup dans ce QCM c'est 2H2 + N2 = 2NH3. Donc ton delta n est 1 et pas -2.

 

13D: Pour savoir tu dois simplement trouver la configuration S/R des deux carbones centraux. Si t'as RR ou SS, c'est un des deux énantiomères, et si t'as RS ou SR c'est la forme méso. Seule les formes RS/SR possèdent un plan de symétrie donc sont en réalité une même forme méso.

 

19AB: tu comptes le nombre de carbones asymétriques. il y en a 2 donc on aurait tendance à penser qu'il existe 4 stéréoisomères. Cependant, il faut faire très attention parce qu'il existe de nombreux cas particuliers, et la prof adore piéger sur ça. Ici, on te dis qu'on obtient uniquement un alcène de forme Z à la fin, et ça implique que l'un des deux C* possède une configuration figée (R ou S), donc on passe de 4 à 2 stéréoisomères possibles.

 

Bon courage pour la semaine prochaine 😉

Posted

@enzocastets Merci pour ta réponse ! 

9A: justement je vois pas pourquoi l'équation que tu as écrite est équilibrée car à droite on a 6H et à gauche on en a 4... J'aurai écrit : N2 + 3H2 = 2NH3, qu'est-ce que je rate? 

C'est parfait pour les autres questions, j'ai compris 😀

  • Solution
Posted
il y a 26 minutes, syncytio13 a dit :

@enzocastets Merci pour ta réponse ! 

9A: justement je vois pas pourquoi l'équation que tu as écrite est équilibrée car à droite on a 6H et à gauche on en a 4... J'aurai écrit : N2 + 3H2 = 2NH3, qu'est-ce que je rate? 

C'est parfait pour les autres questions, j'ai compris 😀

Autant pour moi, petite (grosse) erreur d'étourderie 🤓

Join the conversation

You can post now and register later. If you have an account, sign in now to post with your account.
Note: Your post will require moderator approval before it will be visible.

Guest
Reply to this topic...

×   Pasted as rich text.   Paste as plain text instead

  Only 75 emoji are allowed.

×   Your link has been automatically embedded.   Display as a link instead

×   Your previous content has been restored.   Clear editor

×   You cannot paste images directly. Upload or insert images from URL.

  • Recently Browsing   0 members

    • No registered users viewing this page.
×
×
  • Create New...