Jump to content

Poly Noël


Go to solution Solved by AHMED24,

Recommended Posts

Posted

1577175134-e0ae22de-51f8-4e0d-98ad-cf4251577175134-31b325e5-8152-45d3-a11c-2a4f0 

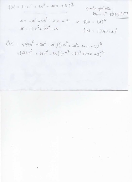
Bonjour, alors je ne comprend la correction de litem E du qcm 2 des qcms supplémentaires du poly de Noël. 
Je ne comprend pas pq on utilise cette formule, j’ai bien trouvé ça comme u’ mais la fonction initiale n’est pas de la forme (.....)^n donc je ne vois pas comment on peut savoir quoi mettre en exposant dans le u^n-1 de la formule de la dérivée. Et d’où sort le 4 devant la formule(Il correspond à n, mais comment on le trouve) ?

je sais pas si c’est très clair désolée 

merci beaucoup 

  • Solution
Posted

Salut ! Dans l'énoncé du TAT, le 4 qui se trouve à la puissance sur le 9 devrait être dehors, sur la parenthèse. Ensuite on applique une formule qui dérive de f(x)= x qui admet comme dérivée f'(x) = n*xn-1 mais avec la fonction u. Voici une image du corrigé !

fonction 001.jpg

Posted

Ah oui en effet ça marche  bcp mieux avec le ^4 après la parenthèse. Merci beaucoup, j’ai compris 

Join the conversation

You can post now and register later. If you have an account, sign in now to post with your account.
Note: Your post will require moderator approval before it will be visible.

Guest
Reply to this topic...

×   Pasted as rich text.   Paste as plain text instead

  Only 75 emoji are allowed.

×   Your link has been automatically embedded.   Display as a link instead

×   Your previous content has been restored.   Clear editor

×   You cannot paste images directly. Upload or insert images from URL.

  • Recently Browsing   0 members

    • No registered users viewing this page.
×
×
  • Create New...