KarimB Posted December 24, 2019 Posted December 24, 2019 Bonjour, j'ai pas compris pq je peux pas me servir dans le 10e de la formule P(E-/M-)= 1-P(E+/M+)? https://goopics.net/i/1jRXE Quote
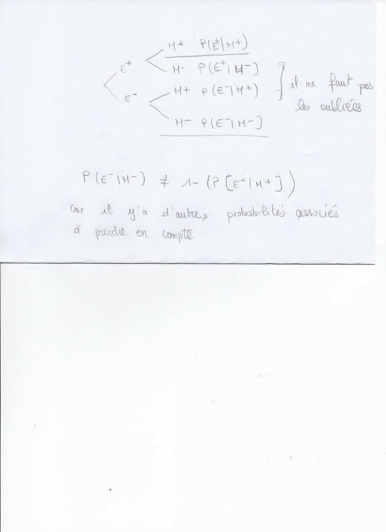
Solution AHMED24 Posted December 24, 2019 Solution Posted December 24, 2019 Salut ! voilà un arbre de probabilité qui t'explique pourquoi la formule n'est pas applicable ! Quote
Chat_du_Cheshire Posted December 24, 2019 Posted December 24, 2019 il y a une heure, rayyan91220 a dit : Bonjour, j'ai pas compris pq je peux pas me servir dans le 10e de la formule P(E-/M-)= 1-P(E+/M+)? https://goopics.net/i/1jRXE Le '' sachant que '' ne doit pas changer : P(E-/M-) = 1-P(E+/M-) Quote
KarimB Posted December 24, 2019 Author Posted December 24, 2019 @Chat_du_Cheshire @AHMED24 ok ok je vois la nuance merci bcpp Quote
Recommended Posts
Join the conversation
You can post now and register later. If you have an account, sign in now to post with your account.
Note: Your post will require moderator approval before it will be visible.