Jump to content

TD N°6


Go to solution Solved by Tartiraclette,

Recommended Posts

Posted

Bonjour!

Concernant le qcm 9 du TD n°6, je comprends pas vraiment comment résoudre l'item E "C est un mélange de 4 stéréoisomères" (désolééé je trouve pas le poly sur moodle), en fait quand on me parle de mélange je sais pas ce que ça signifie? pour moi, c'était le nombre de stéréoisomères que je pouvais obtenir..

merciii d'avance 🙂

Posted

Un mélange correspond bien au nombre de stéréoisomères possible. Sans le QCM il m'est difficile de te répondre plus en détails.

  • Solution
Posted

Bonsoir @KCAT, je pense avoir trouvé la réponse (après avoir discuté avec @Jygorath, teamwork tmtc)

 

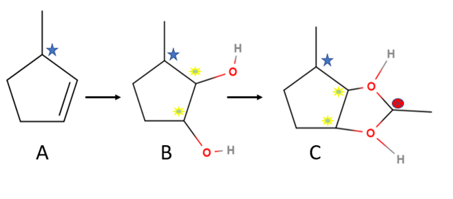
Du coup, voici une petite image décrivant la réaction réalisée par mes soins, avant d'entamer le PAVE DE LA MORT pour tout te décrire (mieux vaut trop que pas assez)
image.png.608e931a27209f9567304a7755bd24cf.png
NB : sur la molécule C, sur la droite, c'est bien un radical éthyl doublement fixé aux oxygènes ( -CH-CH3 pour respecter la tétravalence du carbone)

 

En A, on retrouve effectivement le 3 méthylcyclopentène, avec un carbone asymétrique comme indiqué dans l'énoncé (dextrogyre). Cette information ne nous permet que de savoir qu'il est asymétrique, pas de déterminer si il est R ou S (attention à bien différencier les 2, petite piqure de rappel 😉 )

 

La première réaction consiste en la création d'un \alpha-diol, avec la cis-addition du permanganate de potassium, pour donner B. On a donc la création de 2 carbones asymétriques supplémentaires. (Cependant, fais attention à bien conserver une vision dans l'espace assez globale, car à partir de maintenant, shit gets real et il va falloir accrocher ses ceintures).

Les 2 carbones asymétriques symbolisés par les petits soleils/tournesols jaune/vert dégueux que j'ai crées sur powerpoint présentent une orientation particulière; les fonctions alcools ainsi crées sont dans le même plan!! (j'aurais du le symboliser mais bon ça évite de surcharger la photo). Ce qui veut dire qu'ici, à ce stade donc en B, on retrouve un mélange de diastéréoisomères car le carbone étoile est fixe, mais les fonctions alcools peuvent être d'un côté comme de l'autre du plan.

 

Et maintenant pour la partie finale : lors du passage de la molécule à la molécule C, on se trouve avec un petit cas particulier. En fait, lors de l'addition d'un aldéhyde sur un diol, on se retrouve avec la formation d'un acétal cyclique, chose qui se produit rarement. Du coup, on a besoin (exceptionnellement, je le répète, attention), que d'une seule molécule d'éthanal pour atteindre l'acétal, et non pas un hémiacétal!

 

Une fois arrivé au niveau de la molécule C, on peut ainsi se rendre compte de l'apparition de notre fameux dernier carbone asymétrique symbolisé cette fois par une croix dans un cercle rouge parceque j'avais plus d'idée sur quelle forme mettre. Ce qui nous fait un total de 4 carbones asymétriques.

 

Et ainsi, pour résumer, on retrouve au final que 4 stéréoisomères différents, car le carbone étoile est fixé à cause de l'énoncé, les carbones asymétriques tournesols fonctionnent ensemble donc comme s'ils ne comptaient que pour un seul carbone asymétrique dans ce cas de figure (imagine un plan, genre une feuille, posée sur le côté du cycle avec comme extrémités les oxygènes , avec comme axe de rotation ce même côté = au final les 2 oxygènes ne peuvent se retrouver que de 2 côtés mais à chaque fois ensemble du fait de la cis-addition). Et pour couronner le tout, le carbone croix/cercle est lui libre, donc rajoute 2 possibilités de stéréoisomères! 

La molécule finale à donc, en effet, 4 carbones asymétriques, mais dans ce cas présent, seulement 4 stéréoisomères.

 

(Et du coup pour en revenir à ta question initiale, on parle de mélange car à chaque étape de la réaction tu dois considérer tout les cas de figure possible. Ici les réactions laissent supposer toutes les conformations possibles, et tu n'obtiens pas un produit unique à la fin si tu enchaîne les réactions, mais bien un ensemble, une sorte de mélange, de toutes ces configurations).

 

Voilà j'espère avoir été clair, n'hésite pas à revenir vers nous si jamais tu as d'autres questions ou si je n'ai pas été clair 😉 ou si jamais je me suis planté (possibilité non exclue haha)

Posted

Woow déjà merci beaucoup pour cette explication super détaillé @Tartiraclette c'était super clair !! :)) j'ai juste encore de toute petite questions, du coup tu en a déduit que le carbone étoile ne bougeait pas parce qu'on parlait de méthylcyclopentène? Ensuite, si j'ai bien compris, vu que j'ai eu l'addition d'un éthanal, ça explique le que je rencontre plus les isoméries Z/E pour les carbones soleil? parce qu'ils "bougent" ensemble? et dernièreeeee petite question, donc pour le carbone croix rouge j'ai du mal à voir pourquoi tu en a conclus 2 stéréoisomères 😅

Voilà encore merci beaucoup pour cette explication c'est déjà beaucouuup plus clair dans mon esprit ! 😊

 

Posted

A ton service @KCAT 😊

 

Pour le carbone étoile, on sait qu'il ne bouge pas car dans l'énoncé on t'indiques qu'il est dextrogyre, ça veut dire qu'on a pris un stéréoisomère spécifique parmi les 2 possibles (et comme on ne fait pas de chimie sur ce carbone asymétrique, on le touche pas dans les réactions, on peut dire qu'il ne bouge pas)`

 

Attention, les isoméries Z/E ne se produisent que dans le cadre d'une double liaison, ce sont des stéréoisomères géométriques ; Pour les carbones soleil, comme il y a eu une cis-addition, on se retrouve avec des carbones asymétriques avec perte de la double liaison. Sauf que comme cela se produit du même côté du plan (cis addition), du coup les fonctions alcools seront du même côté du plan formé par le cycle, que ce soit "en haut" ou "en bas", c'est pour ça que je dis qu'ils bougent ensemble (c'est comme dans ton poly de cours quand il est question de cis addition sur alcène Z donne blablabla etc). L'addition de l'éthanal viens après, c'est une réaction différente (en fait quand tu ajoute l'éthanal il faut que t'essaie de visualiser une cuve, avec la réaction qui s'est produite auparavant, et dedans tu as tes 2 possibilités possible avec les alcools d'un côté du plan ou de l'autre).

 

Et du coup pour finir, le carbone croix rouge j'en ai conclu à 2 stéréoisomères car il est lié aux 2 oxygènes, un hydrogène, et un CH3 de l'autre côté. Comme il n'y a pas de plan de symétrie, c'est un carbone asymétrique, et du fait du mécanisme de réaction on peut avoir les 2 stéréoisomères possibles. (je te passe l'explication sur le mécanisme mais vu qu'il y a eu catalyse en milieu acide etc et passage par des intermédiaires chargés, on a les 2 possibilités possibles) Désolé pour cette dernière explication un peu brouillon mais j'ai du mal à coucher par écrit mon raisonnement ^^'

 

J'espère avoir répondu à la plupart de tes interrogations en tout cas, et si jamais tu en as d'autres n'hésite pas! Bon courage à toi en ces périodes de fêtes 😉

Join the conversation

You can post now and register later. If you have an account, sign in now to post with your account.
Note: Your post will require moderator approval before it will be visible.

Guest
Reply to this topic...

×   Pasted as rich text.   Paste as plain text instead

  Only 75 emoji are allowed.

×   Your link has been automatically embedded.   Display as a link instead

×   Your previous content has been restored.   Clear editor

×   You cannot paste images directly. Upload or insert images from URL.

  • Recently Browsing   0 members

    • No registered users viewing this page.
×
×
  • Create New...
Radio