Jump to content

CC 2017M QCM 6D


Go to solution Solved by Amonbofis,

Recommended Posts

Posted

Bonjour,


v40w.jpeg

 

gwai.jpeg
 

 

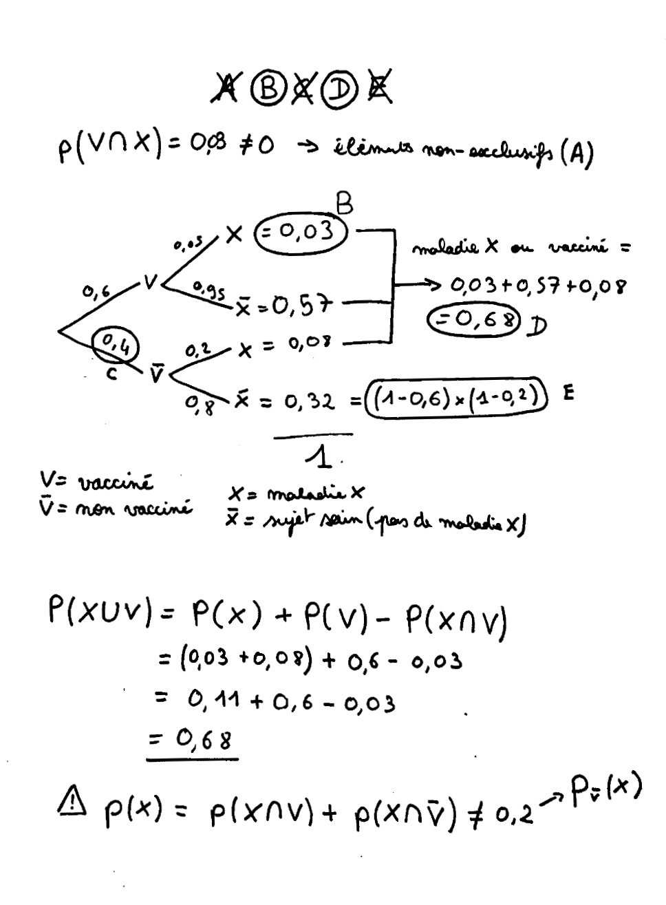
L’item 6D est compté faux mais pourtant je trouve qu’il devrait être juste. Quelqu’un peut m’aider ?

 

ce que j’ai fait :

 

7qq0.jpeg

 

Posted

Je comprends, mais pour moi P(X) = 0.11

 

parceque 0.2 c’est pas P(x), c’est la probabilité d’être malade sachant qu’on est pas vacciné soit P(X sachant V bar)

 

donc c’est bien 0.68 et non 0.77 non?

 

quelqu’un comprends mon raisonnement ?😅

 

Posted

Édit : en relisant et en faisant un arbre je comprends le raisonnement haha, merci!

 

du coup ça me semblait logique que la probabilité d’être malade soit donnée pour les personnes non-vaccinés, puisque après était  précisé la probabilité d’être malade pour les personnes vaccinés, mais finalement je comprends : c’est la probabilité totale.

Join the conversation

You can post now and register later. If you have an account, sign in now to post with your account.
Note: Your post will require moderator approval before it will be visible.

Guest
Reply to this topic...

×   Pasted as rich text.   Paste as plain text instead

  Only 75 emoji are allowed.

×   Your link has been automatically embedded.   Display as a link instead

×   Your previous content has been restored.   Clear editor

×   You cannot paste images directly. Upload or insert images from URL.

  • Recently Browsing   0 members

    • No registered users viewing this page.
×
×
  • Create New...
Radio