purpann Posted December 17, 2019 Posted December 17, 2019 Bonjour, je n'arrvie pas a y repondre (sachant que a est vrai) dans l'enoncé suivant soit un électron cinétique totale égale a 1.022Mev A il possede une energie cinétique égale à 511keV B Sa vitesse est égale à 0.5c Quote
Ancien Responsable Matière Soleneuh Posted December 17, 2019 Ancien Responsable Matière Posted December 17, 2019 Hello @purpann L'énergie totale = énergie cinétique (Ec) + énergie de la particule au repos (E0) --> ça c'est pour la mécanique relativiste, ça s'applique ici On sait que l'énergie E0 d'un électron au repos E0 = 511 keV Donc si pour un électron, on te dit que son énergie totale est de 1,022 MeV, alors --> 1,022 - 0,511 = 0,511 MeV --> l'énergie cinétique de cet électron est de 511 keV tu comprends mieux ? Quote
Bryan11 Posted December 17, 2019 Posted December 17, 2019 Salut ! Pour la B, on sais que EcR = ( - 1) mc2 et que pour l'électron, mc2 = 511 keV. Or d'après l'item A, ici EcR = 511keV. On a : 511 = ( - 1) x 511 Pour que l'équation soit juste il faut alors : ( - 1) = 1. En utilisant v = 0,5c on a : - 1 = - 1= - 1 = - 1 = - 1 = - 1 ≠1 ( - 1) ≠ 1 avec v = 0,5c. Donc v ≠ 0,5c, la B est fausse N'hésites pas si tu as d'autres questions ! Quote
purpann Posted December 17, 2019 Author Posted December 17, 2019 Bonjour @Bryan11 merci bcp j'ai compris juste dans tous les cas il faut que gamma - 1 = 1? Quote
Ancien Responsable Matière Soleneuh Posted December 17, 2019 Ancien Responsable Matière Posted December 17, 2019 (edited) il y a 16 minutes, purpann a dit : dans tous les cas il faut que gamma - 1 = 1? Non ça c'est valable que pour cet exemple là : EcR = ( - 1) mc2 Ça c'est la formule de base pour l'énergie cinétique relativiste Or on a trouvé en A que Ecr = 511 keV Donc EcR = ( - 1) mc2 = 511keV Donc ( - 1) mc2 = 511keV Or E0 (qui est l'energie d'une particule qu repos) = 511 keV pour l'électron (comme je te le disais dans mon message plus haut) En fait l'energie cinétique c'est l'énergie que la particule a avec sa vitesse alors que l'energie de repos = energie potentielle de masse, ça c'est l'energie "de base", sans vitesse, au repos^^ Du coup comme E0 = 511 keV, et puisqu'on sait aussi la formule de E0 (qui ne vaut pas 511 keV pour toutes les particules, seulement pour l'électron) : E0 = mc^2 Donc dans notre EcR = ( - 1) mc2 = 511keV de tout à l'heure on peut replacer le mc^2 par la valeur de E0 donc de 511 keV : ce qui nous donne ( - 1) mc2 = 511 keV ( - 1) *511 keV = 511keV --> donc tu vois que la seule manière pour que cette égalité soit juste c'est que - 1 =1 tu comprends mieux ? Edited December 17, 2019 by Soleneuh Quote
purpann Posted December 17, 2019 Author Posted December 17, 2019 @Soleneuh oui c'est bon merciiii Quote
Ancien Responsable Matière Soleneuh Posted December 18, 2019 Ancien Responsable Matière Posted December 18, 2019 @purpann n'hésite pas à passer le sujet en résolu si c'est plus clair pour toi ! Quote
purpann Posted December 18, 2019 Author Posted December 18, 2019 Et juste je ne comprend pas comment dans la correction ils ont déduit que ca faisait 10 périodes (ps ca na aucun rapport avec le sujet précédent) A. La période du Rb82 est de 75 secondes. L’injection est de 20 MBq/kg. Sachant que le patient fait 70 kg, on injecte donc 1400 MBq, qui est notre activité initiale A0 ! 12,5 min = 750 secondes = 10 périodes du Rb82. A(t)= A0/(2^n) : donc au bout de 12,5 minutes, l’activité est de A0 / 2^10 = 1400 MBq / 1024 (environ 1000) = 1,4 MBq. Quote
Ancien Responsable Matière Soleneuh Posted December 18, 2019 Ancien Responsable Matière Posted December 18, 2019 @purpann je ne comprends pas très bien ta question : - dans ton énoncé on te dit que la periode du Rb est de 75 sec - ensuite on te parle d'un temps de 12,5 minutes, qu'on convertit en secondes : 12,5 *60 = 750 secondes. - on remarque alors que 750 secondes c'est 10 fois la période du Rb : 75*10 = 750 - donc en 12,5 minutes on est à 10T (10 fois la période du Rb) --> or la formule du cours dit que : à t = n*T (n fois la période), alors l'Activité à ce temps t A(t) = A0/2^n --> Donc ici tu appliques ta formule: à 12,5 min = 10*T, A(12,5) = A0/2^10 Et 2^10 = 1024 (retiens le par coeur), donc environ 1000 - Donctu divises ton activité initiale de 1400 MBq par 1000 ce qui te donne une activité de 1,4 MBq Tu comprends mieux? Quote
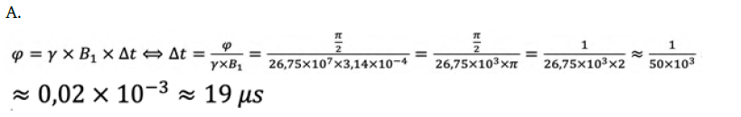
purpann Posted December 18, 2019 Author Posted December 18, 2019 Oui c'est bon j'ai compris merci et j'ai une autre question : comment ont ils fait pour passer de 0.02 a 19Us? Quote
Ancien Responsable Matière Solution Soleneuh Posted December 18, 2019 Ancien Responsable Matière Solution Posted December 18, 2019 @purpann j'imagine qu'ils ont fait une approximation de 19 microsecondes au depart en 20 microsecondes, ça devait etre 0,019 et pas 0,02 mais ça revient au même, c'est une approximation ^^ Quote
purpann Posted December 18, 2019 Author Posted December 18, 2019 D'accord merci BEAUCOUP @Soleneuh Quote
Ancien Responsable Matière Soleneuh Posted December 18, 2019 Ancien Responsable Matière Posted December 18, 2019 @purpann haha de rien ^^ bon courage Quote
Recommended Posts
Join the conversation
You can post now and register later. If you have an account, sign in now to post with your account.
Note: Your post will require moderator approval before it will be visible.