Eikichii Posted December 4, 2019 Posted December 4, 2019 Salut ! alors il y a un truc que j'ai pas compris depuis pas mal de temps et qui traine, je voulais juste savoir comment peut-on prétendre qu'il y a une liaison hydrogène intramoléculaire ? et quelle est la limite ? je prend par exemple la molécule de dopamine que l'on a eu au concours blanc merci d'avance ! Quote
Amonbofis Posted December 4, 2019 Posted December 4, 2019 @Eikichii salut, c’est possible que si dans un meme cycle les substituants sont orienté en ortho ! et sinon c’est avec la géométrie d’une double liaison ou on voit bien qu’elles sont possibles Quote
Eikichii Posted December 4, 2019 Author Posted December 4, 2019 merci de ta reponse @Amonbofis ! Comment ça la géométrie d'une double liaison ?? Quote
Solution Amonbofis Posted December 4, 2019 Solution Posted December 4, 2019 Bah exemple si en cis tu as un groupement COOH en bout de chaîne carbonée et un hydrogene dans le même cas de l’autre côté de la double, ça va être possible. https://www.noelshack.com/2019-49-3-1575477428-8b056231-d08b-42dd-966f-f2f21a48354f.jpeg Un exemple parmi plein d’autres Quote
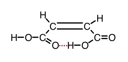
Magnum Posted December 4, 2019 Posted December 4, 2019 (edited) Salut @Eikichii ! Alors pour la liaison intra-moléculaire : Donc tu le sais sans doute, elle ne peut se faire qu'entre des atomes F,O,N. La liaison hydrogène intra-moléculaire ne peut se faire qu'en position ortho. Ou dans le cas d'une double liaison en configuration d'isomérie géométrique Z.Ex de l'acide maléique en Z Bon courage ! Révélation @Amonbofis too fast Edited December 4, 2019 by Magnum Quote
Eikichii Posted December 4, 2019 Author Posted December 4, 2019 ahh c'est bon merci bcp a vous 2 Quote
Recommended Posts
Join the conversation
You can post now and register later. If you have an account, sign in now to post with your account.
Note: Your post will require moderator approval before it will be visible.