Jump to content

Mésomères


Go to solution Solved by enzocastets,

Recommended Posts

Posted

bonjour! 
j’ai du mal à répondre aux question du type           « parmi les mésomères suivantes, lesquelles sont correctes? » (je n’arrive pas à insérer une image désolé)

je m’embrouille avec les doubles liaisons, les +, les -

Est ce que qqn pourrait m’expliquer ? 

Mercii

  • Solution
Posted

Salut!

Alors déjà c'est hyper important de bien comprendre ce genre de qcm puisque ça tombe a peu prêt tout le temps mdr

 

Déjà tu dois connaître les différents groupements qui sont donneurs et accepteurs par effet mésomères. Dans le poly tu as des diapos qui te les présente mais attention quand je dis que tu dois les connaitre, je ne te demande pas de les apprendre par coeur (et d'ailleurs je pense que même Mme de Viguerie ne veut pas que tu les apprennes par coeur non plus) parce que ce sont souvent les mêmes qui reviennent et que globalement y'a 2 règles à retenir:

-Les groupements qui possèdent un doublet libre (donc une charge négative) seront des groupements DONNEURS

-Les groupements qui possèdent au moins une case quantique vide seront des groupements ACCEPTEURS (puisqu'ils vont justement pouvoir prendre un doublet)

 

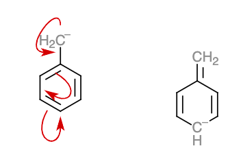
Dans l'exemple ci-dessous (je l'ai pris du concours Rangueil 2015), tu vois que le groupement CH2 porte un charge négative (-). Ca vient du fait que normalement un atome de Carbone fait 4 liaisons simples, mais là il n'est lié qu'à 3 atomes, du coup il conserve un doublet pour lui et ça lui donne une charge négative en excès (rappelle toi que doublet = électrons= charge négative)

Donc si tu reprends la première règle, le groupement CH2 sera un DONNEUR par effet mésomère. Le doublet va donc se délocaliser sur la liaison C-C pour former une double liaison C=C (maintenant le premier carbone ne porte plus de charge négative puisqu'il partage son doublet non-liant avec un autre carbone).

Ensuite le deuxième doublet qui est situé dans le cycle aromatique à gauche va lui aussi se déplacer, il sera capté par le carbone qui le suit (cette étape n'est pas représentée), qui portera donc une charge négative, il va ensuite délocaliser le doublet sur la liaison suivante. Ce doublet sera capté par le carbone suivant qui va porter une charge négative (c'est cette étape qui est représentée). En réalité, le doublet fait tout le tour du cycle, mais les étapes intermédiaires comptent aussi. On dit donc que la première et la deuxième molécule sont des formes mésomères, mais il y en a d'autres qui correspondent à toutes les positions différentes du doublet dans le cycle aromatique!

 

J'espère avoir été clair 🙂

 

Capture d’écran 2019-11-17 à 17.58.44.png

  • Ancien du Bureau
Posted
Il y a 2 heures, Invité C31 a dit :

bonjour! 
j’ai du mal à répondre aux question du type           « parmi les mésomères suivantes, lesquelles sont correctes? » (je n’arrive pas à insérer une image désolé)

je m’embrouille avec les doubles liaisons, les +, les -

Est ce que qqn pourrait m’expliquer ? 

Mercii

 

Je viens compléter pour t'aider à poster une image, utilise https://www.noelshack.com et apres tu colles tes liens sur ton messages 😉 

Posted

oui très clair, merci beaucoup! Je vais bien regarder le poly et m’entraîner 😉

Join the conversation

You can post now and register later. If you have an account, sign in now to post with your account.
Note: Your post will require moderator approval before it will be visible.

Guest
Reply to this topic...

×   Pasted as rich text.   Paste as plain text instead

  Only 75 emoji are allowed.

×   Your link has been automatically embedded.   Display as a link instead

×   Your previous content has been restored.   Clear editor

×   You cannot paste images directly. Upload or insert images from URL.

  • Recently Browsing   0 members

    • No registered users viewing this page.
×
×
  • Create New...
Radio