Jump to content

Petit problème pour les configurations absolues


Go to solution Solved by kendra,

Recommended Posts

  • Ancien Responsable Matière
Posted

Bonsoir ! 🌃

 

Alors je sais qu'il y a pas mal de sujets sur le forum sur la fameuse configuration absolue mais aucun (si j'ai bien tout lu) ne répondent à mon problème

D'habitude la configuration ne me pose pas de problème...jusqu'à maintenant...

 

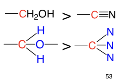
Si on regarde la diapo 53 du poly de la prof on a CH2OH > CN

 

image.png.80a0db75f122508e789b17ea081a60c2.png 

or moi j'aurais dis l'inverse parce que 3N sont supérieurs à 1 O et 2H. Evidemment je sais que c'est la prof qui a raison (au cas où j'ai l'air de signaler une erreur). Donc je me demande si en faite quand on passe au second degré on peut se fixer que sur les plus gros substituants genre O > N donc CH2OH > CN (je sais pas si c'est compréhensible désolé 👼...)

 

Ensuite dans le TD4 on a :

 

image.png.653e005707a1bb434c06303cdbb367ca.png

 

Pour le 2ème carbone de la chaîne j'aurais classé les substituants comme ça :

- 1er: Cl

- 2ème : COOCH3 (parce que c'est un carbone lié à 3 O donc 3*8=24 puis au 3ème degré 1 O est lié à 1 CH3)

- 3ème : le 3ème carbone de la chaîne (parce que c'est un carbone lié à Cl, C et H ce qui donnerait 17+6+1 = 24 puis au 3ème degré on a 3H)

- 4ème

 

Mais dans la correction il est dit que c'est 1 : Cl / 2 : le 3ème carbone / 3 : COOCH3 / 4 : H (du coup j'ai pas trouvé la bonne configuration et toute la suite de QCMs liés a été faussée...)

 

J'ai beau essayé je vois pas le truc, je suis vraiment perdue !! 😭

 

Si quelqu'un pouvait me sauver svppp

 

 

  • Solution
Posted

Coucou, 

Dans le cas de ta molécule, ton carbone 2 est lié à un carbone qui est lié à un Cl, un H et un autre carbone puis à un autre carbone relié lui à deux oxygènes plus un autre carbone, le Cl présentant un numéro atomique (17) plus important que l'oxygène 8, le troisième carbone sera prioritaire sur le COOCH3.

 

pour ta première question, selon ce que j'ai compris, dès que tu as un groupement fonctionnel présentant un numéro atomique supérieur, il est prioritaire par rapport à l'autre carbone (il n'est pas nécessaire de faire la somme des numéros atomiques des atomes liés au carbone).

dans ton exemple 

tu as un C relié à un O et deux H et un autre C relié à trois N : mais l'oxygène présente un numéro atomique supérieur (8) à l'azote (7) donc le carbone portant l'oxygène va être prioritaire.

 

J'espère t'avoir aidé

Si ce n'est pas clair, je peux essayer de ré-expliquer.

Bisous

  • Ancien Responsable Matière
Posted

Merci beaucoup @kendra pour cette révélation 😍

Depuis tout ce temps je faisais la somme des numéros atomique (non seulement c'était faux mais en plus je perdais du temps la totale !)

 

Bisous !

Join the conversation

You can post now and register later. If you have an account, sign in now to post with your account.
Note: Your post will require moderator approval before it will be visible.

Guest
Reply to this topic...

×   Pasted as rich text.   Paste as plain text instead

  Only 75 emoji are allowed.

×   Your link has been automatically embedded.   Display as a link instead

×   Your previous content has been restored.   Clear editor

×   You cannot paste images directly. Upload or insert images from URL.

  • Recently Browsing   0 members

    • No registered users viewing this page.
×
×
  • Create New...