Jump to content

Configuration absolue


Go to solution Solved by Mamagnésium,

Recommended Posts

Posted

Salut,

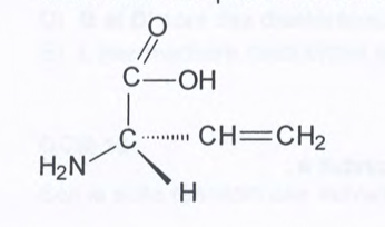
Alors voilà j'ai un petit problème avec la determination des configurations absolue, par exemple dans cette molécule dans la correction il est dit que c'est de l'acide (2S)-2 amino-but-3-ènoïque, mais je ne sais pas comment numéroter les substituants du carbone asymétrique dans l'ordre décroissant. Est-ce que quelqu'un pourrait m'aider ?

Merci bcp !😁483641307_Capturedcran2019-11-0710_02_37.png.70966c5a29b1e21dfb3b644b75a4b021.png

  • Ancien du Bureau
Posted

@bkte merci d'utiliser la fonction meilleure réponse à gauche de la réponse que te semble la plus pertinente, afin de mettre le sujet en "résolu".

Merciiiiii 

Tutobises😘:tat:

Join the conversation

You can post now and register later. If you have an account, sign in now to post with your account.
Note: Your post will require moderator approval before it will be visible.

Guest
Reply to this topic...

×   Pasted as rich text.   Paste as plain text instead

  Only 75 emoji are allowed.

×   Your link has been automatically embedded.   Display as a link instead

×   Your previous content has been restored.   Clear editor

×   You cannot paste images directly. Upload or insert images from URL.

  • Recently Browsing   0 members

    • No registered users viewing this page.
×
×
  • Create New...