Jump to content

CCB 2017-2018


Go to solution Solved by AHMED24,

Recommended Posts

Posted

Bonjour, 

 

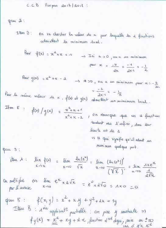
je ne parviens pas à comprendre certaines corrections de ce sujet 2D, 2E, 3A, 5B

https://tutoweb.org/tat_librairie/Purpan/Concours blanc/S1/S1 - Concours blanc Purpan 2017-2018.pdf

correction : https://tutoweb.org/tat_librairie/Purpan/Concours blanc/S1/Corrections détaillées S1/S1 - Correction CCB Purpan 2017-2018.pdf

Pour la 3A quand je fais le théorème de l'hospital au dénominateur j'ai 1/ 2 racine (0), et je n'arrive pas à aller plus loin, 

 

merci par avance, bon dimanche 🙂 

 

 

  • Solution
Posted

Salut ! je t'ai fait un petit corrigé détaillé , j'espère que ça répondra à tes questions

CCB Maths.jpg

Posted

Salut ! 😄 

Je ne peux pas rivaliser avec la réponse parfaite de @AHMED24 😂 mais juste pour rappel, pour le QCM 3 pense que ln(ex) = x, ça simplifie largement les calculs ! 
Bon courage !!

Join the conversation

You can post now and register later. If you have an account, sign in now to post with your account.
Note: Your post will require moderator approval before it will be visible.

Guest
Reply to this topic...

×   Pasted as rich text.   Paste as plain text instead

  Only 75 emoji are allowed.

×   Your link has been automatically embedded.   Display as a link instead

×   Your previous content has been restored.   Clear editor

×   You cannot paste images directly. Upload or insert images from URL.

  • Recently Browsing   0 members

    • No registered users viewing this page.
×
×
  • Create New...
Radio