Jump to content

Poly TAT stéréoisiomérie


Go to solution Solved by Bertille,

Recommended Posts

  • Ancien Responsable Matière
Posted

Bonjour les loulous ! Voici un peu de stéréoisomérie pour débuter le dimanche matin ; si vous êtes partants !  (faut être sûrs des bases avant d’attaquer l’orga 🤯)

 

 

1572162350-capture-d-ecran-2019-10-27-a-08-45-43.png

 

C’est faux :seulement 3. Je me doute qu’il y a un truc avec les substituants identiques mais quoi ?

 

 

1572162353-capture-d-ecran-2019-10-27-a-

Faux : seulement 2 (Z/E)

J’aurais dis 4 parce que Cl peut être en avant ou en arrière et idem pour Br. Du coup je vois pas pourquoi on compte seulement 2 possibilités.

 

 

 

1572162381-capture-d-ecran-2019-10-27-a-08-46-03.png

 

Faux : 4.

Je ne sais jamais comment on compte les isomères avec les cumulènes, du coup je ne sais pas si les 3 dbl liaisons compte pour 2 isomères ? (Par contre je suis d’accord qu’on en a au moins 2 sur les CH=NH)

 

 

1572162402-capture-d-ecran-2019-10-27-a-08-46-33.png

Pourquoi on ne compte que 4 stéréo ? (J’en comptais 8 avec les 2 doubles liaisons + C*)

 

 

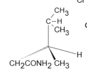
1572162407-capture-d-ecran-2019-10-27-a-08-11-24.png

Comment voit-on qu’il est de configuration S ? (je le trouve R depuis 10 minutes :/) 

 

 

Merci bien 🌻

 

Posted (edited)

Coucouuuu,

Je vais tenter de te répondre avec de grandes pincettes, pour la molécule numéro 2 je pense (chimie orga toujours aussi terrifiante)  que c'est dû au plan de symétrie et donc à une absence de c asymétrique et que par conséquent tu peux seulement avoir 2 stéréoisomères (Z/E) (je crois que c'est la diapo 63 du poly). Pour la molécule 3, tu as les 3 doubles liaisons qui mettent tes substituants dans le meme plan donc pas de chiralité et par conséquent tu auras seulement 2 stéréoisomères Z/E pour le cumulène lui meme mais tu en as aussi 2 avec ch=nh donc 4 au total. 

Pour la molécule 5 tu vois que ton groupement du haut est lié à 2 C et 1 H et ton groupement à gauche à 1C et 2H, donc le groupement du haut est prioritaire face à celui de gauche. Au final tu as une boucle qui commence en haut, passe à gauche et termine en bas (1 C et 3H) donc bien une configuration S car anti horaire.

Voilaaaa en espérant t'avoir aidé un peu (et en attendant une confirmation également)

Edited by HÉCATE
  • Solution
Posted

Bonjour à tous,

 

je vais répondre à la manière de @HÉCATE en numérotant les molécules de 1 à 5 dans l'ordre de tes questions @Liliputienne

 

Pour la molécule 1, j'avoue ne pas trop comprendre le pourquoi du comment. Il y a peut être une erreur de correction ou bien cela vient du fait que la simple liaison qui sépare les deux doubles liaisons est "figée" par l'encombrement stérique lié à la deuxième double liaison. Ainsi, il n'y aurait que 3 stéréoisomères possibles. 

 

Pour la molécule 2, en effet  on est dans le cas d'un cycle ne possédant pas de carbone asymétrique mais un plan de symétrie. On a donc uniquement une isomérie géométrique Z/E donc 2 stéréoisomères.

 

Pour la molécule 3, je suis d'accord avec la correction, il y a bien 4 stéréoisomères. Pour déterminer le nombre d'isomères sur un cumulène , on compte le nombre de doubles liaison. S'il est pair, les substituants ne sont pas dans le même plan, il n'y a pas d'axe de symétrie donc chiralité possible. S'il est impair, les subsituants sont dans le même plan, il peut y avoir une isomérie géométrique et c'est le cas ici. A cela, on ajoute les 2 stéréoisomères liés au doublet non liant  du N. On a bien 4 stéréoisomères.

 

Pour la molécule 4, on la dessine et on obtient une molécule comportant 2 doubles liaisons : en 3 et en 5. Celle en 5 est en bout de chaîne et l'un des C porte 2H donc cette double liaison ne fait pas d'isomérie géométrique (Z/E). On a donc la double liaison en 3 qui donne 2 isomères, et le carbone 2 asymétrique qui donne lui aussi 2 isomères soient 4 isomères en tout. 

 

Enfin, pour la molécule 5, tu peux essayer de te la représenter dans l'espace avec tes stylos. Le substituant 1 est en arrière, le 2 dans le plan et le 3 en avant, tu plonge ton regard dans l'axe du substituant 4 (lui aussi dans le plan) et tu vois une rotation à l'inverse des aiguilles d'une montre donc une configuration S. L'erreur fréquente est de ne pas changer de place son regard quand on veut lire la configuration, cela fait qu'on lit mal puisqu'on ne lit pas dans l'espace.

 

Voilà, j'espère avoir répondu à vos interrogations, si jamais quelque chose vous gêne n'hésitez pas ! 

  • Ancien Responsable Matière
Posted

Déjà : merci beaucoup d'avoir pris le temps de répondre aussi précisément @Bertille 😍 

J'ai juste besoin d'éclaircir 2/3 trucs

 

Il y a 10 heures, Bertille a dit :

Pour la molécule 2, en effet  on est dans le cas d'un cycle ne possédant pas de carbone asymétrique mais un plan de symétrie. 

 Comment peut-on avoir un plan de symétrie avec des substituants différents ?? 

 

Il y a 10 heures, Bertille a dit :

S'il est impair, les subsituants sont dans le même plan, il peut y avoir une isomérie géométrique et c'est le cas ici.

En fait pour les cumulènes on regarde toujours les substituants aux extrémités et ça nous donne une isomérie ou non ; c'est ça ? 

 

Et sinon merci pour le reste tu m'as beaucoup aidée ! 

Posted

Coucou! 😊

 

Pour la molécule 2, le plan de symétrie passe justement par les deux constituants ! Il y a donc bien une symétrie avec les deux CH2 du cycle !

 

Pour les cumulenes, on regarde non seulement les substituants aux extrémités, mais également le nombre de doubles liaisons afin de savoir si il y a isomérie ou non! En gros si y a un nombre impair à partir de 3 doubles liaisons, l’isomérie est possible (voir avec les substituants) et si il est pair à partir de 2 doubles liaisons il n’y pas d’isomérie car les substituants ne seront pas dans le même plan ! 

Join the conversation

You can post now and register later. If you have an account, sign in now to post with your account.
Note: Your post will require moderator approval before it will be visible.

Guest
Reply to this topic...

×   Pasted as rich text.   Paste as plain text instead

  Only 75 emoji are allowed.

×   Your link has been automatically embedded.   Display as a link instead

×   Your previous content has been restored.   Clear editor

×   You cannot paste images directly. Upload or insert images from URL.

  • Recently Browsing   0 members

    • No registered users viewing this page.
×
×
  • Create New...