Jump to content

Chaîne carbonée


Go to solution Solved by Tsssssss,

Recommended Posts

Posted

Hello,

 

J'ai une question par rapport aux chaînes carbonées en général et la façon dont je dois nommer ma molécule.

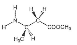
Par exemple, la molécule ci-dessous, j'ai compté l'item vrai car j'ai considéré le -CH3 comme un substituant et non pas comme un carbone qui fait partie de la chaîne carbonée. L'item est faux et le nom de la molécule est : 3-amino-butanoate de méthyle. 

Dans quel cas je sais si un -CH3 ( ou un -C2H5...) fait partie de la chaîne, ou si il est simplement un substituant ? 

 

Je sais pas si ma question a été claire haha mais merci de votre aide 😊

Capture d’écran 2019-10-20 à 16.13.56.png

Capture d’écran 2019-10-20 à 16.14.25.png

  • Ancien Responsable Matière
Posted

La chaîne carbonée est le plus long enchaînement de carbones qui se suivent possible. Ici, tu vois bien qu'en comptant le CH3 comme faisant partie de la chaîne tu parviens à une chaîne carbonée à 4 carbone, donc plus longue que si il était un substituant, puisque la chaîne n'aurait que 3 carbones.

  • Solution
Posted

Salut!! 

 

Dans ce type d'item il faut tout d'abord que tu repères la chaine carbonée la plus longue. 

Ici la chaine la plus longue comprends le CH3, je te met ci-joint cette même molécule écrit d'une façon "lycée" ne respectant pas les règles dans l'espace afin que tu puisses comprendre plus facilement comment repérer la chaine carbonée la plus longue. 

 

Ensuite, tu recherches les fonctions associés à la chaine, de la plus prioritaire à la moins en respectant la règle de numérotation des carbones.

 

2133021290_Capturedcran2019-10-2016_53_22.thumb.png.98fc2504106d803654e40324ecd8ca42.png

Join the conversation

You can post now and register later. If you have an account, sign in now to post with your account.
Note: Your post will require moderator approval before it will be visible.

Guest
Reply to this topic...

×   Pasted as rich text.   Paste as plain text instead

  Only 75 emoji are allowed.

×   Your link has been automatically embedded.   Display as a link instead

×   Your previous content has been restored.   Clear editor

×   You cannot paste images directly. Upload or insert images from URL.

  • Recently Browsing   0 members

    • No registered users viewing this page.
×
×
  • Create New...
Radio