Jump to content

Questions en vrac - QCM d'oxydo-réduction + calculs


Go to solution Solved by Alexcipient,

Recommended Posts

Posted

Bonjooour !

 

J'ai pas mal de petites questions qui persistent sur le chapitre d'oxydo-réduction (à chaque fois les numéros de QCM correspondent à des QCM du livre de la prof, cf photos):

 

  • QCM 135B: comment sait-on que l'item est vrai alors que Cl et I sont tous deux des halogènes, donc no = -1 ?
  • QCM139E (question de calcul): j'ai beaaaucoup de mal avec les calculs en oxydo-réduction, et à trouver la bonne formule à utiliser (ou quelles formules combiner)... Ici, on cherche donc une formule qui lie E° et E°', mais j'en trouve aucune... la correction utilise l'équation de Nernst dans les conditions biologiques mais je comprends pas comment c'est possible puisque la formule utilise E° et non E°'
  • Question générale sur les calculs de ΔE,  ΔE°,  ΔE°': on soustrait l'un des potentiels à l'autre, mais comment est-ce qu'on sait dans quel sens les mettre ? Est ce que c'est E(ox) - E(red) ou l'inverse ? Ayant vu les deux dans les corrections, je crois avoir compris que le résultat doit être positif, mais je suis pas sûre donc je préfère vérifier!
  • QCM144B: quand j'ai les potentiels standards de 2 couples et que je veux en déduire un 3e qui est formé par l'oxydant du couple 2 et le réducteur du couple 1 (ici acide acétique et éthanol), est-ce qu'on fait E°3 = E°2 - E°1 ou l'inverse ? Et pourquoi..?
  • QCM 147D (question de calcul, le retour): là encore je sais pas par où prendre la question... D'abord l'énoncé indique des potentiels standards biologiques, donc il faut prendre l'équation de Nernst dans les conditions biologiques, soit avec E = E°' + ... etc et non E° ? Bref, j'ai du mal à comprendre quand E° et E°' sont interchangeables et quand ils ne le sont pas!

 

Merci d'avance 🤗

 

QCM135 chimie.JPG

QCM139 chimie.JPG

Correction QCM 139 chimie.JPG

QCM147 Chimie.JPG

Correction QCM 147 chimie.JPG

QCM 144 chimie.JPG

  • Ancien Responsable Matière
  • Solution
Posted

Salut à toi @Emma-8827!

Alors je vais répondre à chacune de tes interrogations.

 

QCM 135B : pour ce QCM il y a une petite subtilité. Dans ICl, Cl étant plus électronégatif que I, c'est lui qui va "capter" virtuellement l'électron donc c'est lui qui aura un nombre d'oxydation = -I

QCM 139E : La différence entre E° et E°' c'est que dans ce dernier, tu prends en compte le pH. Les deux sont liés par la formule suivante :

E°' = image.png.5977926b5a96b477f73f57f2af6544f5.png

C'est une partie de la formule suivante image.png.2b5d758379651f815be2175803f37350.png (diapo 250 du poly 1).

Question générale sur les ΔE : effectivement le résultat doit être positif du coup il faut faire E(du plus grand) - E(du plus petit) ou E(oxydant) - E(réducteur), c'est la même chose.

QCM 144B : tu n'auras pas besoin de déduire le potentiel des couples puisqu'ils seront toujours donnés si tu en as besoin. Dans cet item, il suffit juste de savoir que l'oxydant le plus fort et celui qui a le potentiel le plus élevé et que le réducteur le plus fort est celui qui a le potentiel le plus faible. Ensuite, à partir de ça, il te suffit juste de voir si la réaction qu'on te demande est possible.

 

QCM 147D : là encore, il te faut utiliser la formule que j'ai mise plus haut. En gros, si on te donne E°, tu peux retrouver E°' grâce à cette formule.

 

Voilà si tu as des questions sur quoi que ce soit tu n'hésites pas 😉

image.png

  • 3 weeks later...
Posted (edited)

Super, merci beaucoup @Alexcipient, c'est déjà plus clair dans ma tête (toutes ces formules qui se baladent partout ça me perturbe et j'arrive pas toujours à voir le lien entre elles 😂)

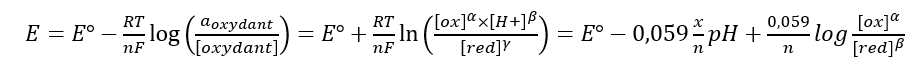
Dans ce cas, est-ce que je peux poser une égalité entre les formules suivantes:

 image.png.4af53000a59eebe65e7a803bacd70602.png

Edited by Emma-8827
  • Ancien Responsable Matière
Posted

Oui ça peut paraître un peu difficile au début 😂

En fait je te conseille surtout d'utiliser celle avec 0,06/n plutôt que RT/nF parce que ce sera la plus simple

Join the conversation

You can post now and register later. If you have an account, sign in now to post with your account.
Note: Your post will require moderator approval before it will be visible.

Guest
Reply to this topic...

×   Pasted as rich text.   Paste as plain text instead

  Only 75 emoji are allowed.

×   Your link has been automatically embedded.   Display as a link instead

×   Your previous content has been restored.   Clear editor

×   You cannot paste images directly. Upload or insert images from URL.

  • Recently Browsing   0 members

    • No registered users viewing this page.
×
×
  • Create New...