Jump to content

QCM 35 poly maths


Go to solution Solved by Ratus,

Recommended Posts

Posted

Bonjour

 

Dans la correction du QCM, l'une des dérivées partielles ne colle pas avec celle que je trouve

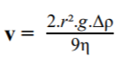
La fonction est image.png.e8bd2480e339b1ec7048307775b25b87.png

Et selon la correction, la différentielle de la fonction est image.png.5d6892c27f4708c8827dce174af5ddb4.png

 

Or pour la dérivée partielle de η , je trouve -9 (2r².g.Δρ) / 81 η²

 

Quelqu'un peut me dire où est mon erreur ? 

  • Ancien Responsable Matière
  • Solution
Posted

En fait tu as juste, et l'énoncé aussi: tu peux simplifier 9/81 pour donner 1/9! (comme dans la correction donc!)

Join the conversation

You can post now and register later. If you have an account, sign in now to post with your account.
Note: Your post will require moderator approval before it will be visible.

Guest
Reply to this topic...

×   Pasted as rich text.   Paste as plain text instead

  Only 75 emoji are allowed.

×   Your link has been automatically embedded.   Display as a link instead

×   Your previous content has been restored.   Clear editor

×   You cannot paste images directly. Upload or insert images from URL.

  • Recently Browsing   0 members

    • No registered users viewing this page.
×
×
  • Create New...