Jump to content

Exercice 12 TD1


Go to solution Solved by Falcor,

Recommended Posts

Posted (edited)

Soient deux sources radioactives (A et B) ayant pour périodes radioactives respectives
4 et 16 jours. A l’instant initial, elles possèdent le même nombre d’atomes :
1. Comparer les activités au 16 ème jour
2. Au bout de combien de temps l’activité d’une source sera-t-elle le millième de
l’activité de l’autre ?
On donne ln(0,00025) ≈ - 8

 

j'ai bcp de mal à résoudre cet exercice, est ce que quelqu'un pourrait m'aider svp 

 

je visualise que 16j c'est 4T pour A mais que 16j c'est seulement 1T pour B

 

cependant pourquoi on divise par deux à la première ligne ? j'ai vraiment du mal à comprendre je me mélange dans les formules, quand utiliser l'exponentiel ou la simple A=Lambda*N 

 

si j'ai bien compris ce "No" nombre initial, je peux le mettre sous forme No/t quand je le calcul dans la forme A=lambda*N car en fait N = No/2^T ?

 

parce que la correction elle dit A=lambda*N=ln2*No/T*2=0.7*No/16*2 mais je suis désolé mais pourquoi on le divise par 2 ? On est au 16jours... faut diviser par 2^4 ?  d'où sors le No/2 ? 😮 😕 

 

 

résultat moi je trouve ln(2)*No/104 donc No*0.7*10^-2 alors que la correction c'est  A= 0.02*No Bq

 

merci bcp 

 

Edited by SJr
  • Ancien du Bureau
  • Solution
Posted (edited)

Salut  SJr !

 

Ecoute, je ne vois vraiment pas d'ou sort le /2 dont tu me parles moi non plus.

Cependant, l'exercice est parfaitement résolvable de manière "classique".

 

Tout d'abord, comme tu l'as très bien énoncé, en effet, après 4 périodes (pour A), on divise la quantité initiale de radionucléides par 2^4 = 16

On a donc l'activité de A :

A(A) = lambda(A) x N = ( ln2 / T(A) ) x ( N0 / 2^4 ) = ( 0.7 / 4 x 24 x 3600 ) x ( N0 / 16 )

En n'oublant pas de convertir les jours en secondes. Pour simplifier les calculs on laissera les 24 x 3600 dans un coin de notre tête.

Du coup : A(A) = 0.01 N0 / (24 x 3600) Bq

 

Sur le même principe : A(B) = ( 0.7 / 16 x 24 x 3600 ) x (N0 / 2 ) = 0.02 N0 / (24 x 3600) Bq

 

Donc A(A) / A(B) = ( 0.01 N0 / (24 x 3600) ) / ( 0.02 N0 / (24 x 3600) ) = 0.01 / 0.02 = 1/2

Donc A(B) = 2 A(A)

Ce qui est, si je ne me trompe, la réponse à l'exo ?

 

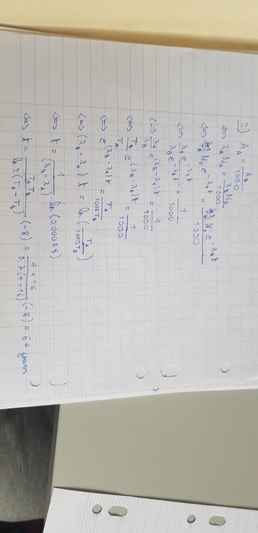
Et pour la question 2 je te laisse avec une version manuscrite bien sympathique ^^

 

20190930_155042.thumb.jpg.cecad5ba9075d5aede12c32364c95de1.jpg

 

 

Edited by DrSheldonCooper
Posted (edited)

Salut SJr! Le "/2" vient à mon avis du fait qu'on parlait de la particule B puisqu'au 16ème jours, 1T s'est écoulé et comme tu l'as dit on peut exprimer n par No/t, on a donc No/2.

D'où A= lambda * N = (ln(0.2)/16) * (No/2) = (0.7*No)/(16*2).

Pour la particule A on aurait eu A=(0.7*No)/(4*2^4)

Ps: j'ai oublié de le mettre pour simplifier comme dans ton message mais il faut bien entendu rajouter le 24*3600 pour convertir en seconde si on ne calculait que l'activité et pas un rapport, car dans le rapport les termes se simplifient et s'annulent

Edited by JayPi
  • Ancien du Bureau
Posted

Salut !

Oui, du coup le /2 serait pour l'activité du radionucléide B, et là on revient à exactement ce que j'ai noté. Ce serait en effet logique. Seulement j'ai cru (et j'ai du mal comprendre) que la correction donnait un N0/2 pour le radionucléide A.

Posted

lol merci bcp pour ces réponses, je vais regarder de plus près après dîner là franchement en je sature de l'UE3 là

 

 

ps: sheldon en fait la correction que j'ai c'est la tienne c'est toi qui me l'a envoyé mdr mais je voulais pas te déranger sur tes réseaux privés j'ai préféré poster sur le fofo aha, bref 

  • Ancien du Bureau
Posted (edited)

Je viens de regarder ma correction du TD1.

En effet y'a bien un /2 et en effet il est bien au radionucléide A. Je n'ai aucune idée de comment ça a atteri là.

Bref, prends la correction que je t'ai envoyée (2nd message de cette convo) comme correction oficielle. ;D

Et sinon, attends le TD en question et écoute la correction du prof à ce moment là si elle est différente de la mienne.

Edited by DrSheldonCooper

Join the conversation

You can post now and register later. If you have an account, sign in now to post with your account.
Note: Your post will require moderator approval before it will be visible.

Guest
Reply to this topic...

×   Pasted as rich text.   Paste as plain text instead

  Only 75 emoji are allowed.

×   Your link has been automatically embedded.   Display as a link instead

×   Your previous content has been restored.   Clear editor

×   You cannot paste images directly. Upload or insert images from URL.

  • Recently Browsing   0 members

    • No registered users viewing this page.
×
×
  • Create New...
Radio