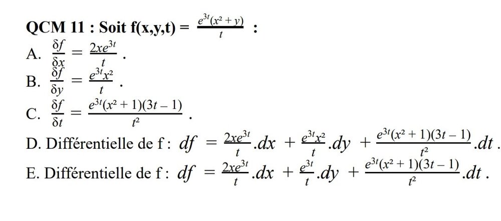
petitepharmacienne Posted September 30, 2019 Posted September 30, 2019 Salut, je n'arrive pas a faire ce QCM, je pense que j'ai pas bien compris le truc de "x bouge, y cte".. etc Quote
Ancien Responsable Matière SeverusRogue Posted September 30, 2019 Ancien Responsable Matière Posted September 30, 2019 Salut !  alors quand tu as le terme , ça veut dire qu'il faut calculer la dérivé de ta fonction en considérant qu'il n'y a que x comme variable, donc t et y sont des constantes.  Là le mieux dans cet exemple pour les réponses A et B c'est de développer le numérateur, pour avoir ensuite f(x) = (x²e3t + ye3t)/t (perso je trouve que c'est plus facile de calculer les dérivés par rapport à x et y sous cette forme)  Donc = 2xe3t/t car ton (ye3t)'= 0 puisque tout le terme est constant (pas de x ici).  Et ainsi de suite pour le reste (tu dérives par rapport à y, donc x et t constants, tu dérives par rapport à t donc x et y constants) et ensuite tu fais la somme des dérivés partielles sans oublier les dx, dy et dt pour chaque terme et t'as la différentielle ! Quote
Ancien Responsable Matière Ratus Posted September 30, 2019 Ancien Responsable Matière Posted September 30, 2019 @SeverusRogue Très bonne explication! @louiseanna05 Tu as tout compris ou tu veux plus de détails? Quote
petitepharmacienne Posted September 30, 2019 Author Posted September 30, 2019 Non mais je comprends pas quand on calcule par exemple, y est donc une constante donc comme si elle était égale à 0, mais pourquoi t reste t et pas 0? et je n'arrive pas a faire ... Quote
Ancien Responsable Matière SeverusRogue Posted September 30, 2019 Ancien Responsable Matière Posted September 30, 2019 @Ratus Merci !  Pour , tu dérives (x²e3t + ye3t)/t par rapport à x, et tu gardes ton "/t" parce que (x²e3t + ye3t)/t = x²e3t/t + ye3t/t donc la dérivé de x²e3t/t c'est 2xe3t/t. C'est simplement l'application de la dérivé de ku avec k = e3t/t.  Après quand on dit y constant donc = 0, c'est un raccourci pour dire "la dérivé d'une constante = 0", tu dois pas remplacer y ni t par 0.  J'espère que j'ai été clair Quote
petitepharmacienne Posted September 30, 2019 Author Posted September 30, 2019 oui je comprends mieux mais je n'arrive toujours pas a faire Quote
Ancien Responsable Matière SeverusRogue Posted September 30, 2019 Ancien Responsable Matière Posted September 30, 2019 (edited) Tu sais si le E est vrai ? Edited September 30, 2019 by SeverusRogue Quote
petitepharmacienne Posted September 30, 2019 Author Posted September 30, 2019 j'ai regardé la correction du coup oui la E est vraie, mais je comprends pas comment on a trouvé Quote
Ancien Responsable Matière SeverusRogue Posted September 30, 2019 Ancien Responsable Matière Posted September 30, 2019 Ah, parce que moi je trouve e3t(x²+y)(3t-1) pour le dt au numérateur, donc là je vois pas non plus désolé Quote
Ancien Responsable Matière Ratus Posted September 30, 2019 Ancien Responsable Matière Posted September 30, 2019 il y a une heure, SeverusRogue a dit : Ah, parce que moi je trouve e3t(x²+y)(3t-1) pour le dt au numérateur, donc là je vois pas non plus désolé En effet c'est +y, il y a une coquille. Sachant ça tu arrives à répondre @louiseanna05? Quote
mathou15 Posted October 1, 2019 Posted October 1, 2019 Salut @Ratus  , est ce que c'est possible d'avoir le détail des calculs pour  , parce que je n'arrive pas à trouver la réponse... Quote
Ancien Responsable Matière Solution Théophylline Posted October 1, 2019 Ancien Responsable Matière Solution Posted October 1, 2019 Salut @mathou15 !  Je me permets de répondre à ta question, voici le détail des calculs : On cherche la dérivée de f par rapport à t. Donc on considère que x et y sont des constantes. On a donc une fonction de la forme :  Avec :    et    ;           et            La dérivée partielle par rapport à t sera telle que :   Donc :  Voilà , j'espère que c'est plus clair pour toi  Quote
Recommended Posts
Join the conversation
You can post now and register later. If you have an account, sign in now to post with your account.
Note: Your post will require moderator approval before it will be visible.