Jump to content

LCAO


Go to solution Solved by Puromycine,

Recommended Posts

Posted

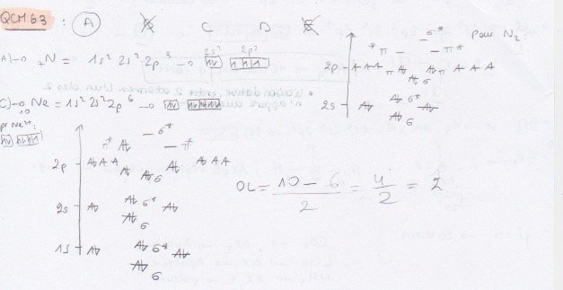
quelqu'un saurait pourquoi la C est juste svp ? vu que normalement vu que c'est NE2+ça veut dire que y'a 2 électrons en moins non ? et pourtant sur le diagramme elle enlève que 1 électron sur la 2p au lieu de 2. je comprends pas... ducoup à cause de ça je trouve un OL totalement différent du sien.

Numériser.jpg

Numériser.jpg

  • Solution
Posted

Salut !

 

il y a 4 minutes, NCxplosé a dit :

vu que c'est NE2+ça veut dire que y'a 2 électrons en moins non ?

 

Parce que justement, ce n'est pas Ne2+, mais Ne2+ ! En gros, c'est une molécule qui contient deux atomes de Néons, dont l'un a perdu un electron afin de permettre l’existence de cette molécule ! T'inquiète pas, j'ai aussi pensé pareil en PACES, quand on lit cela à voit haute, ça peut nous faire faire l'erreur (et je pense même que c'est pour ça qu'il y a l'item sur l'ordre de liaison = 1)...

Après, il faut juste comprendre que comme l'ordre de liaison n'est pas de 0, ça existe, après je ne saurait dire quel type de liaison uni ces deux atomes, ni si c'est stable ou pas...

 

En espérant t'avoir aidé ! N'hésite pas si tu as d'autres questions !

  • Ancien Responsable Matière
Posted

Salut,

 

2 c'est le nombre d'atomes de Ne et pas la charge, donc il est chargé +, du coup il y a bien 1 électron en moins.

Join the conversation

You can post now and register later. If you have an account, sign in now to post with your account.
Note: Your post will require moderator approval before it will be visible.

Guest
Reply to this topic...

×   Pasted as rich text.   Paste as plain text instead

  Only 75 emoji are allowed.

×   Your link has been automatically embedded.   Display as a link instead

×   Your previous content has been restored.   Clear editor

×   You cannot paste images directly. Upload or insert images from URL.

  • Recently Browsing   0 members

    • No registered users viewing this page.
×
×
  • Create New...