Jump to content

2018 Colle R analyse dérivation


Go to solution Solved by SJr,

Recommended Posts

Posted (edited)

image.thumb.png.b0e251554809452585b731537f421356.png

 

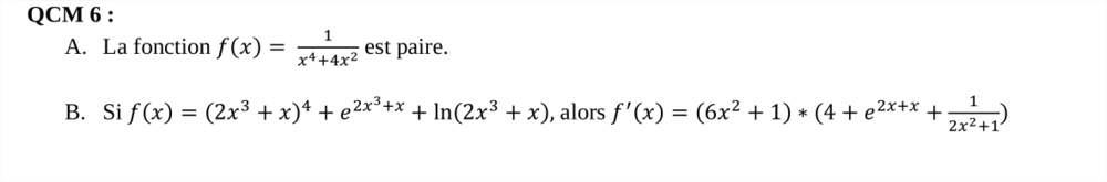
item B compté juste 😮😮 😮 😮 

 

la propriété principale de exp(x) c'est justement de conserver sa fonction à l'intérieur, trop bizarre de dériver  image.png.18674e0e2f64c2c3885f8ca1ffc8de84.pnget avoir    

 

 

 

image.png

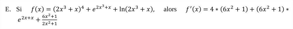
la E est également compté juste 😮 

image.thumb.png.e218fc207855ea9984a25dba0c6174ae.png

 

Edited by SJr

Join the conversation

You can post now and register later. If you have an account, sign in now to post with your account.
Note: Your post will require moderator approval before it will be visible.

Guest
Reply to this topic...

×   Pasted as rich text.   Paste as plain text instead

  Only 75 emoji are allowed.

×   Your link has been automatically embedded.   Display as a link instead

×   Your previous content has been restored.   Clear editor

×   You cannot paste images directly. Upload or insert images from URL.

  • Recently Browsing   0 members

    • No registered users viewing this page.
×
×
  • Create New...
Radio