Jump to content

Concours blanc 2018


Go to solution Solved by Tanchiral,

Recommended Posts

  • Ancien Responsable Matière
Posted

Salut ! 

j'ai un soucis concernant les hybridations des ions dans un QCM du concours blanc : http://www.noelshack.com/2018-51-1-1545063513-capture-d-ecran-2018-12-17-a-17-16-19.png

Pour le CH4, il n'y pas de problème c'est sp3 et donc une figure de répulsion tétraédrique mais pour les 2 autres molécules je ne vois pas comment faire pour arriver à la bonne hybridation qui est sp pour +CH3 et sp3 pour -CH3 ( d'ailleurs -CH3 a un couplet non liant ? ) 

Merci par avance pour votre aide ? 

 

  • Solution
Posted

Salut ? 

Je pense que le plus simple est de repartir de la configuration électronique avec les cases quantiques et quand tu vois la charge + tu retires un électron et la charge - tu ajoutes un électron. 

En revanche je trouve plutôt du sp2 pour -CH3

Révélation

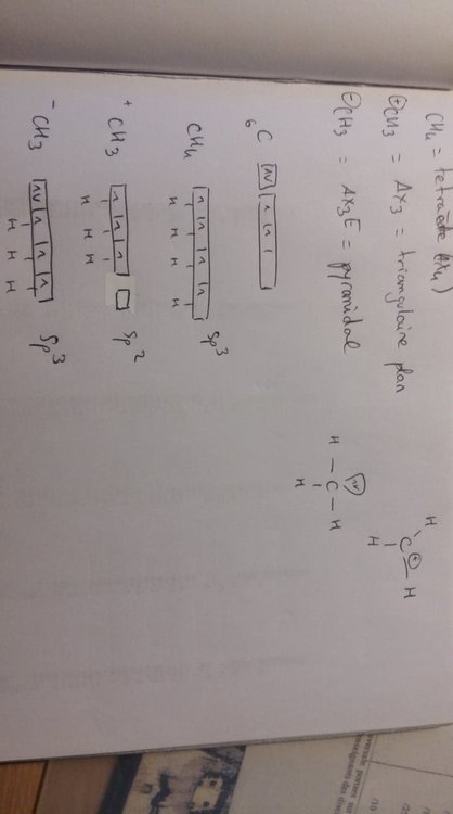
48361760_450646402007074_3326515804987457536_n.thumb.jpg.42bac3ce391990f082e2319bfc03302b.jpg

Quelles sont les réponses justes pour le qcm ? 

Posted

Bonjour

J'avais le même souci que toi. 

Ce que je peux te conseiller serait de raisonner par rapport à la représentation des molécules et/ou leur structure. 

CH4 = AX4--> sp3

CH3- = AX3E je pense car il y doublet non liant sur le carbone --> sp3

Et CH3 + est un carbocation = trois et une case vide. Je dirai sp2

A confirmer quand même pour ne ps te mettre sur une fausse route. 

Bon ben @Tanchiral à été plus rapide que moi. Lol

Au moins c'est confirmé 

  • Ancien Responsable Matière
Posted

Salut ! Merci @Parolier974 et @Tanchiral . Du coup c'est bien sp2 pour CH3+, je ne voyais pas comment arriver à sp mais c'est ce qui est marqué sur la correction du TAT http://www.noelshack.com/2018-51-1-1545065436-capture-d-ecran-2018-12-17-a-17-47-54.png

L'item vrai est le E. 

En plus je viens de penser : le carbocation est de type AX3 ce qui revient à une géométrie triangulaire plane et ce qui correspond à celle d'un carbocation qui est toujours plan non ?

Join the conversation

You can post now and register later. If you have an account, sign in now to post with your account.
Note: Your post will require moderator approval before it will be visible.

Guest
Reply to this topic...

×   Pasted as rich text.   Paste as plain text instead

  Only 75 emoji are allowed.

×   Your link has been automatically embedded.   Display as a link instead

×   Your previous content has been restored.   Clear editor

×   You cannot paste images directly. Upload or insert images from URL.

  • Recently Browsing   0 members

    • No registered users viewing this page.
×
×
  • Create New...
Radio