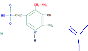
Magnum Posted November 5, 2018 Posted November 5, 2018 Hello ttw ! 2 questions : "Les chaînes de globine de l'hémoglobine sont liées par des liaisons hydrophobes et ioniques" Révélation F Car pas ioniques ? Parce qu'on parle de liaisons faibles dans le cours sans avoir trop développé "A propos du pyridoxal P : Sa forme active possède un azote quaternaire" Révélation V Je ne comprends pas trop cet item, je pensais que les primaires/secondaires ... c'était forcément le nombres de C liés au groupement en question .. A moins que je n'ai pas la bonne figure, j'ai l'azote que je pense quaternaire lié avec DL, SL, et une L avec un H . Où est mon erreur ? Merci Quote
soffee Posted November 5, 2018 Posted November 5, 2018 Salut @Magnum! Alors effectivement pour ta 1ère question, il n'y a pas de liaisons ioniques. Les liaisons faibles dont il parle sont probablement les liaisons hydrogènes (que l'on retrouve dans les hélices alpha). Pour la 2ème question je laisse quelqu'un d'autre répondre. Voila, j'espère t'avoir un petit peu aidé ^^ Quote
Magnum Posted November 5, 2018 Author Posted November 5, 2018 D'accord !! En effet merci @soffee Attendons pour la suite alors Quote
Sternocleidomastoidien Posted November 5, 2018 Posted November 5, 2018 Slt Magnum, d'après moi ton erreur provient du fais que tu compte comme une seule liaison la double liaison... En effet d'après moi il s'agit bien un ion ammonium quaternaire De plus on parle d'ion ammonium car l'azote fait normalement 3 liaison donc en faisant 4 une charge + apparait Quote
Magnum Posted November 5, 2018 Author Posted November 5, 2018 Mais on ne fait pas la distinction entre lié à un carbone et lié à un hydrogène ? @Spif_Le_Spationaute Quote
Ancien Responsable Matière Cactus Posted November 5, 2018 Ancien Responsable Matière Posted November 5, 2018 J'ai un petit peu eu du mal aussi à ce sujet en faisant des QCM cet aprèm. Je pencherai plutôt sur ton avis @Magnum pour dire qu'un ammonium quaternaire est relié à 4C, mais apparemment on se trompe, je ne vois pas où. Quote
Dine Posted November 5, 2018 Posted November 5, 2018 Personnellement je suis d'accord avec @Spif_Le_Spationaute, fin j'arrive pas à comprendre ce qui vous dérange, un ammonium quaternaire est un azote lié à 4 substituants donc qui a une charge +, que les substituants soient équivalents ou non Quote
Magnum Posted November 5, 2018 Author Posted November 5, 2018 il y a 1 minute, Dine a dit : que les substituants soient équivalents ou non Et non je crois pas.. Enfin je transpose du cours de chimie donc peut-être que ça peut varier Tu vois pourquoi la liaison avec un H est génante ? Après peut-être qu'il faut pas en tenir compte mais je sais pas Quote
Dine Posted November 5, 2018 Posted November 5, 2018 (edited) Ah donc pour toi il est tertiaire? Oui là je comprends, du coup je suis partagée maintenant Après les transpositions de cours sont malheureusement à faire avec des pincettes, si on prend l'anode/cathode en chimie et biomol c'est l'opposé niveau pole + et - par exemple.. Edited November 5, 2018 by Dine Quote
Ancien du Bureau lolnon2 Posted November 5, 2018 Ancien du Bureau Posted November 5, 2018 En effet c'est assez mitigé et subtil comme question mais je pense que comme normalement un azote n'a pas 4 liaisons, en portant une charge + il doit être forcément quaternaire, sans se soucier de ses substituants comme habituellement. En cherchant sur internet (peut être pas la meilleure source mais c'est déjà ça) on ne trouve pas de conditions sur les substituants Quote
NicoLqe Posted November 7, 2018 Posted November 7, 2018 Salut ! EDIT: voir plus bas, le débat reste ouvert. Quote
Sternocleidomastoidien Posted November 7, 2018 Posted November 7, 2018 Merci de ta confirmation! @Magnum en fait on a la confirmation sur le poly de chimie Quote
NicoLqe Posted November 7, 2018 Posted November 7, 2018 Avec plaisir ! Hésitez pas si y'a autre chose hein Quote
Magnum Posted November 7, 2018 Author Posted November 7, 2018 Parfait, message reçu! Merci !! #700 Quote
Ancien Responsable Matière Scorpio Posted November 7, 2018 Ancien Responsable Matière Posted November 7, 2018 (edited) Salut salut, Je suis désolée mais je ne suis pas trop d'accord avec la justification... En effet, pour moi : Un ammonium quaternaire est un amonium qui établi quatre liaisons et quatre de ses substituants sont organiques. Un ammonium tertiaire est un ammonium qui établi quatre liaisons et trois de ses substituants sont organiques. Un ammonium secondaire est un ammonium qui établi quatre liaisons et deux de ses substituants sont organiques. Un ammonium primaire est un ammonium qui établi quatre liaisons et un seul de ses substituants est organique. En fait, ça marche comme les amines. De plus, pour moi, c'est doublement faut car un ammonium est qualifié d'ammonium quaternaire quand il établi 4 liaisons sigma, à savoir quand il a quatre substituants. Or dans notre molécule, il établi une double liaison. Je pencherai plus pour aller poser la question à Mr Perret (C'est lui qui traite ça non?).... Pour moi, je ne vois absolument pas pq ce QCM serait vrai. Le problème c'est que la définition d'un ammonium quaternaire est une universelle (enfin j'espère?) et je pencherai plutôt vers un errata... A voir ce que le Pr en pense.. Edited November 7, 2018 by Scorpio Quote
NicoLqe Posted November 8, 2018 Posted November 8, 2018 Salut ! En y (re)réfléchissant je suis d'accord avec que tu proposes @Scorpio, je vais donc modifier mon message en conséquence. Il y a 8 heures, Scorpio a dit : De plus, pour moi, c'est doublement faut car un ammonium est qualifié d'ammonium quaternaire quand il établi 4 liaisons sigma, à savoir quand il a quatre substituants. Or dans notre molécule, il établi une double liaison. Ca me va, puis d'ailleurs si on oublie la charge positive deux secondes, à partir du moment où l'azote établi une double liaison, il me semble qu'on ne parle plus d'amine mais d'imine (corrigez moi si je me trompe, je n'ai pas mon cours de chimie à portée de main)... Après, maintenant que je revoie l'item, on parle d'azote quarternaire, et non pas d'amine ou d'ammonium... Est-ce que l'on doit considérer ici juste la charge positive de N+ et donc le fait qu'il établisse 4 liaisons, peu importante la nature des liaisons ni les substituants, sans se soucier des règles de chimie orga ? J'avoue que je ne sais pas trop... Du coup je suis plus d'avis à demander ça à un chargé de TD (quand vous aurez le td correspondant) ou à Mr.Perret lui-même lors de la séance de réponses aux questions (patience ^^). Voilà, désolé du couac, affaire à suivre pour ma part ! Quote
Recommended Posts
Join the conversation
You can post now and register later. If you have an account, sign in now to post with your account.
Note: Your post will require moderator approval before it will be visible.