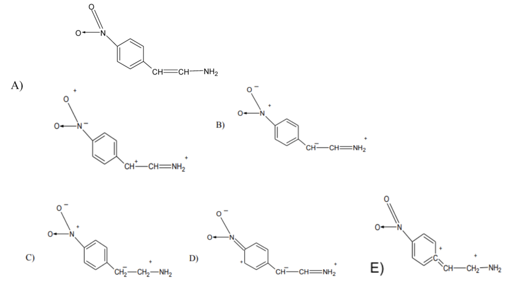
Ancien Responsable Matière Claro Posted October 26, 2018 Ancien Responsable Matière Posted October 26, 2018 Bonjour alors j'ai un petit soucis avec QCM de chimie organique du tutorat sur l'effet mésomère... Le but de l'exercice est de dire si oui ou non les formes proposées sont des formes mésomères de la molécule du haut. Je ne comprends pas comment c'est possible que la forme C puisse être comptée comme juste car il y a la double liaison en effet entre le O et le N devient un doublet non liant du O d'où la charge -, mais au niveau du bas de la molécule (Des 2 CH2 et du NH2) je ne comprends pas où va la double liaison. Si quelqu'un peut m'aider à comprendre j'accepte avec plaisir Quote
Ancien Responsable Matière Téo Posted October 26, 2018 Ancien Responsable Matière Posted October 26, 2018 En gros en bas pour la double liaison faut regarder l'environnement, a gauche tas le cycle avec le NO2 tout ça c'est attracteur donc le doublet non liant va être attiré vers le C de gauche (a cause de cette attraction) et du coup le C de gauche est moins et celui de droite est plus Si tu veux plus détaillé tu le dis Quote
DrWho Posted October 26, 2018 Posted October 26, 2018 @Téo je la mettrais quand même fausses perso car son azote est supposé formé 4 liaison sous sa forme de cation Quote
Ancien Responsable Matière Téo Posted October 26, 2018 Ancien Responsable Matière Posted October 26, 2018 Il y a une différence entre le N+ des 4 liaisons et le N+ la La c'est juste l'azote qui a perdu un électron donc il a trois liaisons toujours et il est + alors que ce dont tu parles toi c'est un azote qui a trois liaisons normales et qui en fait une de plus du coup il est + parce qu'il donne un électron pour former la quatrième liaison Je sais pas si je me fais comprendre Quote
DrWho Posted October 26, 2018 Posted October 26, 2018 il y a 2 minutes, Téo a dit : Il y a une différence entre le N+ des 4 liaisons et le N+ la La c'est juste l'azote qui a perdu un électron donc il a trois liaisons toujours et il est + alors que ce dont tu parles toi c'est un azote qui a trois liaisons normales et qui en fait une de plus du coup il est + parce qu'il donne un électron pour former la quatrième liaison Je sais pas si je me fais comprendre Tu te fais comprendre mais je restes en désaccord (tétue Moi ? Nooooooon ...) Quote
Ancien Responsable Matière Claro Posted October 26, 2018 Author Ancien Responsable Matière Posted October 26, 2018 (edited) Ah oui d'accord merci je crois que je vois ! Mais du coup puisqu'il y a des H qui se sont rajoutés à cause de la disparition de la double liaison est-ce qu'on peut toujours considérer ça comme un effet mésomère alors qu'il y a eu le "déplacement" d'atomes ? Edited October 26, 2018 by PLC3565A Quote
Ancien Responsable Matière Téo Posted October 26, 2018 Ancien Responsable Matière Posted October 26, 2018 Y'a pas du tout d'apparitions de H sinon ce serait pas un effet mésomère Mais on va attendre le passage d'un tuteur parce qu'il y a des Rangueillois tétus qui sont pas d'accords Quote
Ancien Responsable Matière Claro Posted October 26, 2018 Author Ancien Responsable Matière Posted October 26, 2018 D'accord, j'ai cru ça parce que en bas de la molécule C il y a CH2 alors qu'au début il y a CH Quote
Solution Polochon Posted October 26, 2018 Solution Posted October 26, 2018 Bonsoir les loulous ! Ah ben voila qu'on récupère des questions de maraîcher haha @PLC3565A Alors, cet item est plutôt bizarre en effet, il est faux selon moi. Déjà pour la partie haute : je n'ai jamais vu ce type de mésomérie avec des nitrobenzènes --> voir photo pour les formes mésomères du nitrobenzène Pour la partie basse : les électrons pi ne vont pas spontanément se mettre sur le C (--> il faudrait une case quantique vide pour cela, le C serait alors un mésomère attracteur). Rappelez-vous qu'une double liaison toute seule entre deux atomes de même électronégativité n'a pas plusieurs formes mésomères, donc les électrons pi ne peuvent pas venir comme ça sur le carbone ! Par contre, il y a un doublet non liant sur le N, puis une liaison sigma, puis pi, puis sigma, puis le cycle phényl --> le phénomène de mésomérie avec ce type de système est possible ! Mais il faudrait au moins "deux flèches" cad deux déplacements d'électrons (doublet non liant ou électrons pi). Je ne sais pas si j'ai été très claire, n'hésite pas à me demander de te réexpliquer plus en détails ! Bon Week-end ! Quote
Ancien Responsable Matière Claro Posted October 26, 2018 Author Ancien Responsable Matière Posted October 26, 2018 Oui parfait merci beaucoup ! Quote
Recommended Posts
Join the conversation
You can post now and register later. If you have an account, sign in now to post with your account.
Note: Your post will require moderator approval before it will be visible.